Carry trade is considered to be the most popular foreign exchange speculation strategy. Carry traders take advantage of interest rate differential to make profit. It has been well documented that this strategy is very rewarding. This paper examines the profitability of using the Chinese yuan as investment currency against the two most popular funding currencies, the Japanese yen and the Swiss franc in carry trade. The results obtained from this paper showed that the use of Chinese yuan produced positive returns.
Keywords: Carry trade, Uncovered interest rate parity (UIP), Chinese Yuan (CNY).
DOI: 10.20448/811.2.1.1.6
Citation | Musaed S. AlAli; Zaina Z. ElDukair (2017). The Profitability of Using Chinese Yuan in Carry Trade. International Journal of Economics and Financial Modelling, 2(1): 1-6.
Copyright: This work is licensed under a Creative Commons Attribution 3.0 License
Funding : This study received no specific financial support.
Competing Interests: The authors declare that they have no competing interests.
History : Received: 9 January 2017/ Revised: 27 January 2017/ Accepted: 7 February 2017/Published: 18 February 2017
Publisher: Online Science Publishing
Carry trade is a foreign exchange speculation strategy that is conducted in a market that has a trading volume 12 times more than that of all the world’s stock markets combined (Triennial Central Bank Survey, 2010). Out of the trading volume of the foreign exchange market, only 10% is associated with international trade while the rest is attributed to speculative activities, where carry trade is the most widely speculation strategy used. Carry trade in its plain vanilla form is conducted by borrowing low-interest currencies and investing in high-interest currencies, taking advantage of the interest rate differential. Carry traders use this strategy to exploit the deviations from the uncovered interest rate parity (UIP) that was first documented by Bilson (1981) and Fama (1984). Uncovered interest rate parity (UIP) assumes that high interest rate currency should depreciate against low interest rate currency by the interest rate differential itself.
Due to its simplicity, carry trade was labelled by many researcher such as Jorda and Taylor (2009) and Reichenecker ( 2015) as a primitive and naïve strategy. But despite that, Neely and Weller (2013) showed that there is a growing body of literature indicating that carry trade has statistically and economically significant positive excess returns and a Sharpe ratio about double that of equity markets. Brunnermeier and Pedersen (2009) concluded that carry trade returns are much less variable than stock returns, with an annualized standard deviation of about 5 percent (compared to about 15 percent for stocks); as a result, the Sharpe ratio of the carry trade is double that of stock. Burnside et al. (2006) using British pound against the currencies of 9 developed countries for the period from 1977 to 2005 and found that the realized cumulative return from carry trade was similar to that of the S&P 500, but carry trade produced a Sharpe ratio of 0.20 compared to 0.14 for the S&P 500. Jurek (2014) used the currencies of the G10 countries for the period from 1:1990 to 6:2012 and found that carry trade produced a Sharpe ratio ranging from 0.40 to 0.55. Bakshi and Panayotov (2013) used the currencies of the G-10 currencies for the period from 1:1985 to 8:2011 and found that the average annualized return was between 1.95% to 2.70% with a Sharpe ratio ranging from 0.25 and 0.50. Burnside (2012) found that traditional risk factors used to price stock returns could not explain the returns of carry trade. Brunnermeier et al. (2008) suggests that carry trade returns are a compensation for the risk of market crash due to liquidity constrains. Burnside et al. (2011) contributed the returns of carry trade to the peso effect. While, Menkhoff et al. (2012) concluded that carry trade returns are a compensation for global foreign exchange volatility exposure. Carry trade is not only used as a speculative strategy, but it is also used for hedging. Pojarliev and Levich (2008) found weak correlation between carry trade returns and other asset classes making carry trade suitable for hedging. They also found that currency investing does not neatly fit into equity market models.
It have been well documented by many such as Darvas (2009); Burnside et al. (2011); Bakshi and Panayotov (2013) and Cenedese et al. (2014) that conducting carry trade as a portfolio would lead to a higher Sharpe ratio and lower volatility especially when developing countries’ currencies were included. Cenedese et al. (2014) conducted two carry trades portfolios, the first portfolio included the currencies of 10 advanced countries while the other had the currencies of the 10 advanced countries plus 12 currencies of emerging countries for the period from 1:1998 to 4:2013. The results showed that the portfolio of the advanced economies produced a mean annual return of 6.2% compared to 9.9% for the global portfolio, the standard deviation was 11.1% and 9.0% and the Sharpe ratio of 0.558 and 1.1 respectively.
Carry traders base their decisions on the interest rate differential as the sole selection criteria. This naïve strategy has proven to be rewarding in most cases despite its simplicity. This operation works as follows:
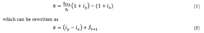
Let and be the interest rates for currencies x and y, respectively. In addition, let S be the spot rate between the two currencies measured as one unit of y against x, so appreciation of y against x would result in a higher S, and vice versa. Under carry trade, carry traders would go long currency y and short currency x if > and vice versa. In this case the return on carry trade is given by;
Where St+1 is the percentage change in the exchange rate between t and t+1. The carry trade operation is implicitly based on the assumption of random walk without drift (Moosa, 2004) which means that S t+1= 0. Thus, carry trade is profitable as long as (iy-ix )>-St+1. (That is, as long as the interest rate differential is larger than the depreciation of currency y against currency x.)
The empirical results obtained in this paper are based on two currencies combinations involving Chines yuan against the Swiss franc, and the Japanese yen. Monthly data were used for the period from 1:2000 to 12:2015. Data were obtained from Reuters DataStream terminal and yahoo finance website.
It can be seen from table (1) that both CNY/CHF and CNY/JPY produced positive returns over the sample period which is in line with the literature. CNY/JPY produced a mean return of 5.70% compared to 0.16% for CNY/CHF. While the returns generated from CNY/JPY carry trade were higher than those of the stock market indices, CNY/CHF did not outperform the stock market in terms of returns. The stock market indices produced returns of 3.56%, 1.83%, and 2.51% for the S&P 500, the Nikkei 225, and the Swiss market index respectively. When comparing the average return for both carry trade pairs, the average was 2.93% which was higher than the average return of the stock indices of 2.63%. When it comes to risk, the results support Burnside (2012) findings that carry trade returns have a lower volatility than the stock market. The standard deviation for carry trade returns ranged from 2.79 to 3.12 compared to 3.99 to 5.72 for the returns on stock markets. Brunnermeier and Pedersen (2009) and Neely and Weller (2013) concluded that carry trade produces a Sharpe ration that is double of that of stock markets. The results presented in this paper does not fully supports their finding. While CNY/JPY produced a Sharpe ratio that is more than double of that of the stock market, CNY/CHF generated a Sharpe ratio that is much less than that on the stock markets.
| Table-1. Main Results | ||||||
| CNY/JPY | CNY/CHF | S&P 500 | Nikkei 225 | Swiss Market Index | Equally Weighted Portfolio | |
| IR Differential | 2.97 | 2.31 | - | - | - | 2.64 |
| Mean Return | 5.70 | 0.16 | 3.56 | 1.83 | 2.51 | 3.44 |
| Standard Deviation | 2.79 | 3.12 | 4.36 | 5.72 | 3.99 | 2.39 |
| Sharpe Ratio | 2.04 | 0.05 | 0.82 | 0.32 | 0.63 | 1.44 |
| VaR 95% | 3.45 | 5.07 | 7.95 | 9.40 | 7.15 | 4.03 |
| VaR 99% | 5.85 | 6.99 | 10.99 | 11.88 | 9.77 | 4.74 |
| The exchange rate expressed as the base-currency is first and the quoted currency is second as conducted in foreign exchange market. | ||||||
Value-at-risk (VaR) is the most common risk-adjusted-return measure used by investors. When it comes to VaR, it can be seen that carry trade showed a lower VaR than the stock market at both the 99% and the 95% confidence levels. At the 95% confidence level carry trade showed a VaR of 3.45 for CNY/JPY and 5.07 for the CNY/CHF compared to 7.95 for the S&P 500, 9.4 for the Nikkei 225, and 7.15 for the Swiss Market index. When it comes to VaR at the 99% confidence level, the results also show that carry trade had a much lower value-at-risk than the three stock market indices.
Following Darvas (2009) an equally weighted portfolio was constructed, and the results were mixed. When it comes to the mean return for the portfolio, it can be seen that the portfolio produced a mean return of 3.44% which was higher than CNY/CHF carry trade return but less than that of CNY/JPY. Looking at volatility, the results were in line with Burnside et al. (2011); Bakshi and Panayotov (2013) finding that conducting carry trade as a portfolio would result in a lower volatility. The portfolio also improved the Sharpe ratio since the portfolio produced a Sharpe ratio of 1.44 compared to a 1.05 for the average Sharpe ratio for the two pairs.
Conducting carry trade as a portfolio also, on an average, produced a lower value-at-risk in both confidence levels. At the 95% confidence level, the average VaR for the two pairs was 4.26 compared to 4.03 for the portfolio. While at the 99% confidence level, the portfolio produced a VaR of 4.74 which is lower than the 5.85 for the CNY/JPY and 6.99 for the CNY/CHF.
The results presented in this paper show that the use of Chinese yuan in carry trade in its simplest forms would yield positive returns. The use of Chinese yuan as an investment currency against the Japanese yen produced a mean return that is superior of that of the stock market indices, but that was not the case for CNY/CHF. The results also showed that carry trade not only produced a better mean return but it also had a better risk and enhanced the risk-adjusted returns compared to the stock indices. The paper also show that conducting carry trade in portfolio resulted in better returns, risk reduction, and risk-adjusted returns.
Bakshi, G. and G. Panayotov, 2013. Predictability of currency carry trades and asset pricing implications. Journal of Financial Economics, 110(1): 139-163. View at Google Scholar | View at Publisher
Bilson, J., 1981. The 'speculative efficiency' hypothesis. Journal of Business, 54(3): 435-451. View at Google Scholar | View at Publisher
Brunnermeier, M., S. Nagel and L. Pedersen, 2008. Carry trades and currency crashes. National Bureau of Economic Research, NBER Macroeconomics Annual, 23(1): 313-348.View at Google Scholar | View at Publisher
Brunnermeier, M. and L. Pedersen, 2009. Market liquidity and funding liquidity. Review of Financial Studies, 22(6): 2201-2238.View at Google Scholar
Burnside, C., 2012. Carry trades and risk, in Jessica James, Ian W. Marsh and Lucio Sarno, Eds., Handbook of exchange rates. Hoboken: John Wiley & Sons.
Burnside, C., M. Eichenbaum, I. Kleshchelski and S. Rebelo, 2006. The returns to currency speculation. NBER Working Paper, No. 12489. Cambridge, MA: National Bureau of Economic Research.
Burnside, C., M. Eichenbaum and S. Rebelo, 2011. Carry trade and momentum in currency markets. NBER Working Paper Series, No. 16942.
Cenedese, G., L. Sarno and I. Tsiakas, 2014. Foreign exchange risk and the predictability of carry trade returns. Journal of Banking & Finance, 42: 302-313. View at Google Scholar | View at Publisher
Darvas, Z., 2009. Leveraged carry trade portfolios. Journal of Banking and Finance, 33(5): 944-957.View at Google Scholar | View at Publisher
Fama, E., 1984. Forward and spot exchange rates. Journal of Monetary Economics, 14(3): 319-338. View at Google Scholar | View at Publisher
Jorda, O. and A. Taylor, 2009. The carry trade and fundamentals: Nothing to fear but FEER Itself, NBER Working Paper, No. 15518. Cambridge, MA: National Bureau of Economic Research. Retrieved from http://dx.doi.org/10.1016/j.jinteco.2012.03.001.
Jurek, W.J., 2014. Crash-neutral currency carry trades. Journal of Financial Economics, 113(3): 325-347.View at Google Scholar | View at Publisher
Menkhoff, L., L. Sarno, M. Schmeling and A. Schrimpf, 2012. Carry trades and global foreign exchange volatility. Journal of Finance, 67(2): 681-718.View at Google Scholar | View at Publisher
Moosa, I., 2004. What is wrong with market-based forecasting of exchange rates? International Journal of Business and Economics, 3(2): 107-121. View at Google Scholar
Neely, C. and P. Weller, 2013. Lessons from the evolution of foreign exchange trading strategies. Journal of Banking and Finance, 37(10): 3783-3798. View at Google Scholar | View at Publisher
Pojarliev, M. and R.M. Levich, 2008. Do professional currency managers beat the benchmark? Financial Analysts Journal, 64(5): 18-32. View at Google Scholar | View at Publisher
Reichenecker, J.-A., 2015. Diversification effect of naïve and optimized carry trades. Retrieved from http://ssrn.com/abstract=2619678, http://dx.doi.org/10.2139/ssrn.2619678.
Triennial Central Bank Survey, 2010. Bank of International Settelment (BIS), Triennial Central Bank Survey.
| Figure-1. Grafical Representation for Interest Rate Diffirential, Annual Return, and Change in Exchange Rates. |