This study portrays the financial intermediation functions of microfinance banks in Nigeria from 1992-2014, econometrically it measures the relationship between the total funds mobilized by MFBS and the allocation of funds to deficits sectors of the economy. In analyzing the data, the researchers applied vector autoregressive and multivariate econometrics tools. The result of the analysis of the correlation showed a clear indication of a weak relationship between the ratio of loans and advances to GDP, ratio of total fund mobilized to GDP, as against the negative nexus between the ratio of total investments to GDP. Furthermore the result shows no evidence of long run equilibrium relationship between the variables under study. The causality test reveals the presence of a unidirectional causality running from RGDP to microfinance bank intermediation variables. Finally, the study recommends that there need to deepen the capacity building strides of NDIC by include both staff and directors of microfinance banks to help bridge the skills gap, the government should provide the infrastructure needed such as power and telecommunications to boost financial inclusion, because technology drives financial innovation, multilateral and bilateral funds be sourced to support the development of microfinance sector, the regulation of microfinance banks in Nigeria be strengthened.
Keywords: Financial intermediation, Microfinance banks, Vector autoregressive, Multivariate.
DOI: 10.20448/811.2.1.7.24
Citation | Ekpete, Marshall Simon; Iwedi Marshal (2017). Financial Intermediation Functions of Microfinance Banks in Nigeria: A Vector Autoregressive and Multivariate Approach. International Journal of Economics and Financial Modelling, 2(1): 7-24.
Copyright: This work is licensed under a Creative Commons Attribution 3.0 License
Funding : This study received no specific financial support.
Competing Interests: The authors declare that they have no competing interests.
History : Received: 10 April 2017/ Revised: 8 May 2017/ Accepted: 11 May 2017/Published: 15 May 2017
Publisher: Online Science Publishing
The fundamental role of microfinance banks is that of provision of financial intermediation. This pertains the transfer of capital or liquidity from those who are in surplus to those in deficit. This is premised on the fact that production and consumption will not happen simultaneously, hence, financial intermediation appear to be the panacea needed to link up these two extremes. This position is further strengthened by Von (1991) who opined that finance in the manner of savings and credit is mainly to permit coordination. Savings and credit become smoother and efficient as when intermediaries commence transfer of funds from firms and individuals that possess accumulated funds and at the same time willing to sacrifice liquidity, to those that need to posses liquidity. In another dimension Von (1991) opined that closing the lacuna between demand and supply of credit in the organised financial institutions frontier has been blurry. The gap-scenario became prominent not only due to shortage of loan-able funds to the poor but because it is costly for the formal financial institutions to lend to the poor. In a similar vein, Stiglitz and Weiss (1987) asserted that lending to the poor attracts high transaction cost and risks associated with information asymmetries and moral hazards. Nevertheless, in most developing countries, respective governments have intervened, through setting up of microfinance institutions to help reduce the gap by creating an enabling environment for the poor to access credits.
In a broader perspective, financial institutions are no doubt necessary instruments needed to activate the desired economic growth of both developing and developed countries. In the financial intermediation process, it functions among others include to effectively mobilize and allocate scarce financial resources. By this, it would enhance the real investment process which would translate into a robust output growth. Evidence is abound and replete in the field of financial economics regarding empirical relationships that exist between the credit-driven financial system and economic growth. The reputable works of Schumpeter (1934); Shaw (1973); Goldsmith (1969) and Mckinnon (1973) evidently indicate that credits significantly enhance rapid growth of countries with regards to innovative entrepreneurship, which became visible the banking system’s ability to provide credit for entrepreneurship. These reputable works all allude to the reason that financial development propels economic growth through increased savings, efficient allocation and investment of financial resources. These scholars subscribe the view that development of financial markets is a germane prerequisite for economic growth. Hence, the level of development and sophistication of any country’s financial markets could be seen as one of the prominent indicators of spate of economic growth.
Nigeria in an attempt to take a cue from the global trends as it pertains to a financial intermediary that would address needs of the poor, formulated the Structural Adjustment Programme (SAP) in 1986, which was meant to restructure and diversify the productive capacity of the economy with the view to removing heavy reliance on oil and imports thereby reducing state involvement and controls. In a bid to cushion the gap, the Community Banking Programme was initiated as veritable platform to create community ownership by fixing lower capital base requirements. Principally, the Community Banking Programme was meant to mobilize local deposits for significant on-lending to micro ventures within the communities. Regrettably, they were confronted with poor credit management culture and practices that led to eventual collapse. Empirically, Dauda (2007) affirmed that the community banking operators took after the lending pattern of commercial banks in error. By advancing short term credits to large business ventures at the peril of micro enterprises which was meant to be real sector in the rural communities. Given the attendant problems that greeted the Community Banking Program which were ranging from poor credit management, capacity challenges to poor corporate. Some measures were taken by the Federal Government remedy the situation by issuing policy directives for all surviving community banks to transit to Microfinance banks by 31st December, 2006. This directive came with several modifications to help improve operational momentum and ability to manage risk; principal amongst them was increased minimum capital base requirements, banking services that are targeting the poor. In terms of financial deepening and inclusion, the core mandate of microfinance banking scheme is still largely bordering around banking activities that are community targeted. New microfinance banking models (group lending) following India and Bangladesh. Interesting, Nigeria is not left behind in the global trends in micro financing activities. Consequently, in this study we would make effort to empirically establish optimal functions of microfinance banks in the intermediation process in Nigeria using econometrics methodology.
However, microfinance banking is apparently a novel model of financial intermediation in Nigeria. Relatively, both regulators and operators do not have the requisite knowledge and technicality of microfinance operations. An attempt was made by the Microfinance Regulatory Agency (MRA) of Bangladesh in 2013 to increase competence, including other efforts made by National Deposit Insurance Corporation (NDIC), by organising a national workshop on microfinance practice for Chief Executives of MFBs in Nigeria but this workshop could not address the seeming problems. In a similar manner NDIC Annual Report and Statement of Account (2013) appear to share these seeming problems which this study has identified with. Weak Capital Base is a problem associated with MFBs which has led to the erosion of shareholders funds through loses. Hence, the poor quality of loan assets and the compelling need for provision of loan losses had impinged negatively on the capital base. Poor Asset Quality as evident by the credits/portfolio-at-risk (PAR) of MFBs as revealed by the NDIC Annual Report (2013) was very worrisome. The PAR of some institutions was high in excess of 50% as against the prudential maximum rate of 5%. Other fundamental problems which this research has pointed out includes inadequate technical know-how in running MFBs, poor culture of corporate governance practices, management information systems challenges, high operating costs, inadequate loanable funds and lack of awareness of microfinance services. After analyzing various studies we conclude that very few studies have analyzed the financial intermediation functions of microfinance banks in Nigeria. However, this paper will explore such intermediation functions of MFBs with regards to usefulness to the economy trends by using vector autoregressive and multivariate approach.
2.1. Theoretical Framework and Model
The theoretical underpins of studies that relates to financial intermediation is linked to the works of Schumpeter (1934); Mckinnon (1973) and Shaw (1973). Evidently, they emphasized on the crucial role of finance in enhancing economic growth through the financial intermediation process. Particularly, their argument is centred on the role of banks in facilitating technological innovation through its intermediary role. This role according to them is performed through the process of channelling funds in the form of credit or loan for investment to those economic agents who need them and can put them into the most productive use.
Schumpeter (1934) advocates the strong potentials of financial institutions to provide unlimited funding for innovative entrepreneurship which accounts for spontaneous economic growth. The study largely argues that where entrepreneurship leads, finance follows thereby, substantiating the demand- following role of finance. The works of Shaw (1973) and Mckinnon (1973) greatly portray the supply-leading roles of financial institutions including microfinance institutions in provision of credit facilities that would reasonably, advance the growth of output thereby, reducing poverty by engaging the poor in venturing in small businesses. In confirmation of this, Patrick (1976) provides a broader dimension of financial institutions in a two-way capacity characterized by both supply-leading and demand following roles in the economic growth process. In this dual functioning role, financial institutions perform to induce and service economic growth respectively. Another theoretical dimension is the Gap and Exigency theses respectively. Prominently, Nwankwo (1985) indicates that while the Gap thesis holds that the accelerated growth of microfinance institutions erupted as a result of the funding gap created by nonchalance of commercial banks in providing micro credits for small businesses, the Exigency thesis alternatively, could be linked to the urgent need perceived by various national governments to hurriedly enhance and propel their economic growth process by empowering the enterprising poor. Possibly, the gains of proving micro finance/credits as essential fulcrum for fighting poverty has caused both researchers and policy makers to show greater concern, noting the fact that financial institutions play crucial roles in propelling economic growth regarding intermediation.
2.2. Microfinance Models
Microfinance involves the provision of financial services such as savings, loans and insurance to poor people living in both urban and rural settings who are unable to obtain such services from the conventional banks. Hence, these models are developed to help propel the intermediation process
2.2.1. The Grameen Solidarity Group model
This model is based on group peer pressure whereby loans are made to individuals in groups of four to seven. Berenbach and Guzman (1994). Group members collectively guarantee loan repayment, and access to subsequent loans is dependent on successful repayment by all group members. Payments are usually made weekly (Ledgerwood, 1999). According to Berenbach and Guzman (1994) solidarity groups have proved effective in deterring defaults as evidenced by loan repayment rates attained by Organisations such as the Grameen Bank, who use this type of microfinance model. Under the Grameen Bank variation of this model, groups contain five members and savings must be contributed for four to eight weeks prior to receiving a loan. Savings must also continue for the duration of the loan term. Only two of the group members receive a loan initially. After a period of successful repayment, two highlight the fact that this model has contributed to broader social benefits because of the mutual trust arrangement at the heart of the group guarantee system. The group itself often becomes the building block to a broader social network.
2.2.2. Village Banking Model
Village banks are community-managed credit and savings associations established by NGOs to provide access to financial services, build community self-help groups, and help members accumulate savings. Holt (1994) opined that they have been in existence since the mid 1980s. Membership ranging from 25 to 50 who low-income individuals are seeking to improve their lives through self-employment activities. These members run the bank, elect their own officers, establish their own by-laws, distribute loans to individuals and collect payments and services, Grameen Bank (2000). The loans are backed by moral collateral; the promise that the group stands behind each loan, Global Development Research Centre (2005). The sponsoring microfinance institution lends loan capital to the village bank, who in turn lend to the members. All members sign a loan agreement with the village bank to offer a collective guarantee. Members are usually requested to save twenty percent of the loan amount per cycle, Ledgerwood (1999). Members’ savings are tied to loan amounts and are used to finance new loans or collective income generating activities and so they stay within the village bank. No interest is paid on savings but members receive a share of profits from the village bank’s re-lending activities. Many village banks target women predominantly, as according to Holt (1994) “the model anticipates that female participation in village banks will enhance social status and intra-household bargaining power”.
2.2.3. Rotating Savings and Credit Associations Model
These are formed when a group of people come together to make regular cyclical contributions to a common fund, which is then given as a lump sum to one member of the group in each cycle, Grameen Bank (2000). According to Harper (2002) this model is a very common form of savings and credit. He states that the members of the group are usually neighbours and friends, and the group provides an opportunity for social interaction and are very popular with women. They are also called Self-Help Groups (Fisher and Sriram, 2002).
2.3. Financial Intermediation Functions of MFBs
Von (1991) asserted that the primary role of Microfinance Banks is to provide financial intermediation. This involves the transfer of capital or liquidity from those who have excess at a particular time to those who are short at that same time. Since production and consumption do not take place simultaneously, something is required to fill the gap. Hence, finance in the form of savings and credit is meant to fill this gap. Savings and credit are made more efficient when intermediaries mobilize funds from firms and individuals from the surplus unit (characterized with shedding liquidity) to the deficit sector (characterized by acquisition of liquidity). What virtually all Microfinance Banks provide, including savings, insurance, and payment services. The choice of which financial services to provide and the method of providing these services depends on the objectives of the microfinance banks, the demands of its target market, and it’s institutional structure. However, the two key imperatives that must be considered when providing financial services are; first to respond effectively to demand and preferences of clients and secondly to design products that are simple and can be easily understood by the clients and easily managed by the MFBs. The range of products provided by microfinance banks cuts across credit, savings, and payment services
2.3.1. Credit
In the view of Waterfield and Duval (1996) Credit is borrowed funds with specified terms of repayment. In instances of insufficient accumulated savings to finance a business and when the return on borrowed funds exceeds the interest rate charged on the loan. It makes sense to borrow rather than postpone the business activity until sufficient savings can be accumulated. Assuming the capacity to service the debt exists. Loans are generally made for productive purpose that is, to generate revenue within a business. Some microfinance banks also make loans for consumption, housing, or special occasions. While many microfinance banks insist that only productive loans made, any loan that increase the liquidity of the household frees up enterprise revenue, which can be put back into the business. According to Waterfield and Duval (1996) Methods of credit delivery can generally be divided into the two broad categories of individual and group approaches. First, individual’s loans are delivered to individuals based on their ability to provide the microfinance loans with assurances of repayment and some level of security. Second, group-based approaches make loans to groups that is, either to individuals who are members of a group and guarantee each other’s loans or to group that then sub-loan to their members.
2.3.2. Savings Mobilization
According to the microfinance handbook (2012) Savings mobilization is always greeted with administrative complexities and the costs associated with mobilizing savings especially small amounts may not be attractive. Microfinance institutions may find it hectic to meet with prudential regulations and guidelines that relates to deposit taking institutions. Furthermore, the volatility of microfinance loan portfolios may put deposits at a high risk in instances where the microfinance Banks fund lending operations. In other` words, microfinance Banks that offer voluntary savings services crates a remarkably different institution in comparison to the one that only provides credit.
2.3.3. Payment Services
Caskey (1994) opines that the conventional banks payment services entails cheque cashing and writing privileges for customers who keep deposits accounts. Consequently, the banks’ payment services are done in tandem with their savings services. Microfinance banks may offer similar payment services either with either savings services or separately for a fee. If payment services are done with savings services. The microfinance banks can pay an artificially low interest rate on customer deposit accounts to cover the cost those services. Otherwise, a fee is charged to cover these costs which include personnel, infrastructure, and insurance costs. Fees can be based on a percentage of the amount of the check or they can be a flat minimum fee with additional charges for first time clients. Moreover, because the microfinance banks advanced funds on checks that must subsequently be cleared through the banking system, it insures interest expenses on the funds advanced and runs the risk that some cashed checks will be uncollectible due to insufficient funds or fraud. Microfinance banks, therefore must have relationship with a least one bank to clear the check being cashed.
In addition to check cashing and check writing privileges, payment services include the transfer and remittance of funds from one area to another. Microfinance clients often need transfer services, however, the amount.
2.4. Components of Microfinance
2.4.1. Micro-Savings
Uppal (2001) opined that micro-savings is an important part of micro-finance. It enables poor people (especially in developing countries) a small cash cushion them. Micro-savings can either be voluntary or it may be a forced savings requested to secure loans from the lender. This is particularly interesting in risky investments but usual. Voluntary savings usually serves as security against unpredictable risks, such as infectious disease or epidemic, natural disasters, etc. In general, small business uses the option of micro-savings.
2.4.2. Micro-Credit
Dasgupta and Rao (2003) were of the view that Micro-credit is the extension of very small loans (micro-loans) to the unemployed, to poor entrepreneurs and to others living in poverty that is not considered bankable. These individuals lack collateral, steady employment and a verifiable credit history and therefore cannot meet even the most minimal qualifications to gain access to traditional credit. Micro-credit is a part of microfinance, which is the provision of a wider range of financial services to the very poor. Micro-credit has successfully enabled extremely impoverished people to engage in self-employment projects that allow them to generate an income and, in many cases, begins to build wealth and exit poverty. Due to the success of micro-credit, many in the traditional banking industry have begun to realize that these micro-credit borrowers should more correctly be categorized as pre-bankable; thus, micro-credit is increasingly gaining credibility in the mainstream finance industry and many traditional large finance organizations are contemplating
2.4.3. Micro-Insurance
Micro-insurance is a term increasingly used to refer to insurance characterized by low premium and low caps or low coverage limits, sold as part of a typical risk-pooling and marketing arrangements, and designed to service low-income people and businesses not served by typical social or commercial insurance schemes. Micro-insurance products are mainly targeted at low income groups in the unorganized sector- farmers and craftsmen. Uppal (2001) asserted that in India, the amount of premium in these schemes ranges between Rs. 200 to Rs. 500. The coverage provided by these products is in the range of Rs. 5000- Rs. 50000.These products are available in various categories such as health insurance, personal accident cover, crop insurance and insurance for equipments.
2.5. Microfinance Triangle and Performance Evaluation
Meeting the gap between demand and supply of credit in the formal financial institutions frontier has been challenging, Von (1991). In fact, the gap is not aroused merely because of shortage of loan-able fund to the poor rather it arises because it is costly for the formal financial institutions to lend to the poor. Lending to the poor involves high transaction cost and risks associated with information asymmetries and moral hazards, Stiglitz and Weiss (1987). Nevertheless, in several developing economies governments have intervened, through introduction of microfinance institutions to minimize the gap then allow the poor access credits. There are different arguments concerning how to evaluate the performance of microfinance There are different arguments concerning how to evaluate the performance of microfinance institutions. Meyer (2002) Citing from Zeller and Meyer (2002) indicated that there is what is called "Critical Micro-finance Triangle" that we need to look at to evaluate Micro-finance institutions based on their objective. The triangle can be depicted as Meyer (2002):
| Figure-2.1. Microfinance Triangle |
| Source: Zeller and Meyer (2002) |
2.5.1. Measuring Outreach to the Poor
Outreach at glance means the number of clients served. But, Meyer (2002) noted that outreach is multidimensional concept. In order to measure outreach we need to look in to different dimensions. Conning (1997) and Navajas et al. (2000) share similar view with Meyer (2002) that outreach implies the number of persons now served that were previously denied access to formal financial services. Which are usually the poor because they cannot provide the collateral required for accessing formal loans, and are perceived as being too risky to serve, and impose high transaction costs on financial institutions because of the small size of their financial activities and transactions. Measuring the depth of poverty is a concern given the fact that the poor face the greatest access problem. Some measure of depth of outreach is needed to evaluate how well microfinance institutions reach the real poor. In other words, the variety of financial services rendered is the basis because it reflects that the demands and welfare of the poor will be improved if efficient and secure savings, insurance, remittance transfer and other services are provided.
2.5.2. Financial Sustainability
Financial sustainability is another performance indicator of microfinance institutions. Notable scholars noted that financial sustainability is one of the areas that are central in terms of assessing the performance of micro finance institutions. Meyer (2002) pointed out that the poor needed to have access to financial service on long-term basis rather than just a onetime financial support. Short-term loan would worsen the welfare of the poor Navajas et al. (2000). Meyer (2002) also stated that the financial unsustainability in the Microfinance institutions occurs as a result of low repayment rate or un-materialization of funds promised by donors or governments. According to Meyer (2002) there are two kind of sustainability that we could observe in assessing the performance of microfinance institutions; the first is operational self sustainability while the second is financial self-sustainability. Operational self-sustainability is when the operating income is adequate to cover for operational costs like salaries, supplies, loan losses, and other administrative costs. While financial self-sustainability (which he referred as high standard measure) is when microfinance institution can bear the costs of funds and other forms of subsidies received when they are valued at market prices. However, measuring financial sustainability requires that microfinance institutions keep good financial accounts and possibly follow conventional accounting practices that provide full transparency for income, expenses, loan recovery, and potential losses. According to Christen et al. (1995); Otero and Rhyne (1994) cited in Meyer (2002) outreach and financial sustainability are complimentary this is because as the number of clients increase MFIs enjoys economies of scale and hence reduce costs which help them to financial sustainable. Regarding indicator of financial sustainability Khandker et al. (1995) pointed out that loan repayment (measured by default rate) could be another indicator for financial sustainability of MFIs; because, low default rate would help to realize future lending.
2.5.3. Welfare Impact
Welfare impact is another indicator to evaluate the performance of the institutions. Put into consideration the fact that the principal objective of microfinance institutions is reducing poverty. It therefore, implies that to evaluate the performance we need to access the impact of microfinance programmes as it relates to reducing poverty. As defined in World Bank (2000/01) report poverty is viewed as lack of money, lack of adequate food, shelter, education and health and the poor are vulnerable to ill health, economic dislocation and natural disaster. According to Meyer (2002) this perspectives of poverty can be used to access the impact of the MFIs on those who receives the services.
2.6. Microfinance Banks and Nigeria Economy
Studies the potentials of microfinance institutions as it relates to experiences of other countries. The research chronicles Nigerian government efforts at providing micro-credit opportunities to the enterprising poor and strongly push for a more impactful and outreach driven microfinance scheme. This is premised on the notion that it is characteristically a less complex financing set up and serves as the veritable strategy for increasing participation of the enterprising poor with the expectation of reducing poverty in Nigeria. Another prominent scholar, Okpara (2010) examines the critical factors that induce poverty among the enterprising poor in Nigeria and the extent to which micro credits have assisted in alleviating poverty. The study’s selected causative factors for poverty include low profit, high cost of start-up or expansion funds for business and low rate of business growth. Employing two-stage regression technique within a quadratic equation framework, the study finds that in the first or take-off stage of microfinance banking, poverty was observed to have increased, though at a declining rate with increase in micro credits. In the second stage of the study which started from the year 2001, persistent increases in disbursed micro credit facilities are observed to have significantly lowered the poverty index in Nigeria. Consequently, the study calls for policy measures to establish microfinance institutions in every community in Nigeria.
Prakash (2009) in course of his studies on finance and economic growth nexus in India, using co-integration test on time series data found the presence of long-run equilibrium relationship between financial development and economic growth. Also, the Granger causality test found the existence of bi-directional relationship between bank credit and economic growth. Bhatt and Jhaveri (2008) in course of their examination of microfinance institutions and its role in economic prosperity found that micro-finance is seen as a new age solution to reducing poverty and thus yielding the desired economic prosperity to the rural economy. And found that microfinance institutions contribute to improving lives of the poor people. In related study, Iwedi and Igbanibo (2015) paper models the relationship between financial intermediation functions of banks and economic growth in Nigeria using data spanning (1970-2014). Credit to private sector (CPS), banks deposit liabilities (DLS), and money supply (MOS) were used as proxy for bank financial intermediation functions while gross domestic product represents economic growth. The econometric tools of the regression analysis and co integration test were used. The analysis revealed that no short run relationship existence between CPS, DLS and GDP in Nigeria. However, the analysis revealed a long run relationship between bank financial intermediation indicators and gross domestic product in Nigeria.
3.1. Data
The study uses time series data sourced from the central bank of Nigeria (CBN) statistical bulletin and report of various issues. The study covers period of 1992-2014. The variables are Real Gross Domestic Product growth (RGDP) as dependent variable, proxy for the nation economic performance while Ratio of Total Funds Mobilized to GDP, Ratio of Total Loans and Advances to GDP and Ratio of Total Investment on GDP are independent variables proxies for microfinance banks financial intermediation.
3.2. Model Estimation
The method of data analysis employed in this study includes the use of description statistic which helps in explaining the nature of our data. In testing our model, the use of econometric techniques of the unit root test- the ADF unit root test is conducted to ascertain the order of integration. If two or more time series variables move closely together in the long run, although the series variables themselves are trending over time (non stationary), the variation between one variable and the other variable is stationary. In such case, such variables can be regarded as defining a long run equilibrium relationship as the variation between them is stationary (Hall et al., 1989). Furthermore, if the time series properties do not exhibit long run equilibrium connection in principal they will wander randomly from each other without any direction, as the variation between them is not static (Dickey and Fuller 1981) with this development, the study employ the Johansen Multivariate co-integration Test to examine the long run equilibrium of the series. The granger causality test is also used to test the duration of causality or measure the cause-effect or lead-follow relationship between the variables specified in the model. Finally, the study adopted the vector autoregressive (VAR) model to test the short run dynamics of the variables under study.
3.2.1. Unit Root Test
Consider a non stationary time series properties (variables) that is generated by first order autoregressive process yielding augmented dickey fuller (ADF) test of the following form.
Where, the symbol, Δ denotes the first difference operator; δ denotes a parameter which determines stationary of the series under a null hypothesis, H0: δ = 0 (meaning non-stationary) in contrast to an alternative hypothesis, H1: δ< 0 (meaning the series is stationary); and n stands for the optimum number of lag length in the dependent variable (Yt) and it is solely determined by the parameter, β. Note that Yt stands for a particular time series variable.
3.2.2. Co-Integration Test
If all the variables of concern are found to be non stationary at level but stationary (of the same order) after taking first or second difference then cointegration test using Johansen multivariate cointegration would be applied accordingly. Therefore, consider a vector of stochastic variable Yt which has a p-lag vector autoregressive (VAR) with the error terms of this form
Where Yt is a vector of endogenous variables which are commonly integrated of order zero denoted as I (0) and ɛt is a vector of innovations. Equation (11) can be further re-specified as follows:
Where
| And the parameters, | and | can be further be specified as: | ||
Where П is the coefficient of the lagged of the dependent variables in its level form and г is the coefficient of the lagged of dependent variable in difference form. Thus the Trace and maximum Eigenvalue solution can be calculated as
Where denotes the estimated Eigenvalue from the matrix and the T denotes the number of usable observations.
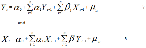
3.2.3. Granger-Causality Test
The test for linear causality or feedback effect between the specified variables was done using granger causality techniques. This test would be conducted to enable us establish the existence of and the direction of causality. The test is based on the following equation below.
Where Xt and Yt are the variables to be tested while µ1t and µ2t are white noise disturbance terms and n is maximum number of lags. The null hypothesis a1 = β1 = 0 for all 1’s is tested against the alternative hypothesisa1, 0 and β 0, if the coefficient of 1 are statistically significant, that of β1 are not, then X causes Y. If the reverse is true, than Y causes X, where both coefficient of a1 and β1 are significant then causality is bi-directional.
3.3. Model Specification
Following widely used practices; we assume that the impact of financial intermediation on the wider economy can be modelled in the following VAR structural form framework:
Where is anx1 vector of endogenous variables, c is a nx1 vector of constants,
is a mx1 vector of exogenous variables, and
is a nx1vector of error terms.
and
are nxnand nxmmatrices, which give the structure of the relationship among the endogenous and exogenous variables in the model.
However, to obtain the reduced form of VAR model, the vector exogenous variables will be excluded. Thus we have
Here, the error term is a vector of random components of disturbance terms for all the variables in the model and it captures the influence of the excluded exogenous factors; and
is a (nxn) matrix which contains the contemporaneous response of the variables to the innovations. Based on this the baseline VAR model of this study takes the following form
Where:
RGDP = Real GDP growth
RTFM = Ratio of Total Funds Mobilised to GDP
RLA = Ratio of Loans & Advances to GDP
RINV = Ratio of Investment of MFBs to GDP
Equation 11 are transformed into an econometric equation of this form
Where= intercept or constant,
= Parameters or Co-efficient of explanatory variables and
= Error term.
| Figure-4.1. Graphical Representations of RTFM, RLA and RINV |
| Source: Eview 8.0 output |
The graph above shows that the variables were not stable from 1992 through 2014. As such the common feature is that their curves all started flat from the origin in 1992 until 1994 when they began to rise and fall throughout the period of study.
4.1. Descriptive Statistics Test
The descriptive statistics of the data distributions are summarized in table above. The mean value of RTFM, RLA and RINV variables are 2.671739, 0.885217, 0.153913 respectively. Median of the series when the values are ordered from the smallest to the largest are 0.140000, 0.870000 and 2.640000 for RINV, RLA and RTFM variables respectively. The maximum values of each of the series in the current sample are 6.110000 for RTFM, 2.350000 for RLA and 0.350000 for RINV respectively.
| Table-4.1. Descriptive Test Result | |||
| RTFM | RLA | RINV | |
| Mean | 2.671739 | 0.885217 | 0.153913 |
| Median | 2.640000 | 0.870000 | 0.140000 |
| Maximum | 6.110000 | 2.350000 | 0.350000 |
| Minimum | 0.710000 | 0.160000 | 0.040000 |
| Std. Dev. | 1.429039 | 0.543272 | 0.098477 |
| Skewness | 0.928656 | 1.108499 | 0.588336 |
| Kurtosis | 3.326924 | 3.949611 | 2.078907 |
| Jarque-Bera | 3.408298 | 5.574475 | 2.139931 |
| Probability | 0.181927 | 0.061591 | 0.343020 |
| Sum | 61.45000 | 20.36000 | 3.540000 |
| Sum Sq. Dev. | 44.92733 | 6.493174 | 0.213348 |
| Observations | 23 | 23 | 23 |
| Source: Eview 8.0 Output | |||
On the other hand, the minimum values of the series in the current sample are 0.710000, 0.160000 and 0.040000 for RTFM, RLA and RINV respectively. The standard deviations which are a measure of dispersion or spread in each of the series are 1.429039 for RTFM, 0.543272 for RLA and 0.098477 for RINV variables respectively. The skewness, which is a measure of asymmetry of the distribution of the series around its mean, is seen to be positive for all the variables (0.928 for RTFM, 1.108 for RLA and 0.588 for RINV), which means that the distributions have long right tails. The kurtosis statistic that measures the peakedness or flatness of the distribution of the each series is calculated at 3.326 for RTFM, 3.949 for RLA and 2.078 for RINV. The variables RTFM and RLA could be described as peaked or leptokurtic while RINV distributions is flat (platykurtic).
The Jarque-Bera statistic, which is a test statistic for testing whether the series is normally distributed, measuring the difference of the skewness and kurtosis of the series with those from the normal distribution, is reported at 3.40 with 0.18 for RTFM. It reported 5.57 with a probability of 0.06 for RLA and 2.13 with a probability of 0.34 for RINV. Under the null hypothesis of a normal distribution, the Jarque-Bera statistic is distributed as with 2 degree of freedom, the reported probability indicates that we cannot accept the hypothesis of normal distribution at 5% level of significance.
4.2. Unit Root Test Result
| Table-4.2. ADF Unit Root Test | ||
| Variable | Adf Test Statistic | Order of Integration |
| D(RTFM) | -5.264447 | |
| 1% | -3.788030 | I(1) |
| 5% | -3.012363 | |
| D(RLA) | -5.521696 | |
| 1% | -3.788030 | I(1) |
| 5% | -3.012363 | |
| D(RINV) | -4.377441 | |
| 1% | -3.788030 | I(1) |
| 5% | -3.012363 | |
| Source: E-view 8.0 Output | ||
The results in table 4.2 shows that ratio of total fund mobilization to GDP (RTFM), Ratio of loans and advances to GDP (RLA) and Ratio of investment to GDP (RINV) are all stationary at first difference 1(1). This is evidenced by the calculated ADF Test statistic which is greater than the Mackinnon critical values. As such we reject the null hypothesis of non- stationarity and accept the alternative of stationarity.
4.3. Vector Autoregressive Estimate
| Table-4.3. VAR Result | ||||
| Standard errors & t-statistics in parentheses | ||||
| RGDP | RTFM | RLA | RINV | |
| RGDP(-1) | 0.384519 | -0.034138 | -0.013365 | 0.011464 |
| (0.28539) | (0.14065) | (0.05618) | (0.00834) | |
| (1.34736) | (-0.24272) | (-0.23790) | (1.37410) | |
| RGDP(-2) | 0.150205 | 0.507451 | 0.190365 | 0.014578 |
| (0.28945) | (0.14265) | (0.05698) | (0.00846) | |
| (0.51893) | (3.55726) | (3.34080) | (1.72285) | |
| RTFM(-1) | 0.750689 | 1.298487 | 0.269355 | 0.153987 |
| (1.83141) | (0.90258) | (0.36053) | (0.05354) | |
| (0.40990) | (1.43864) | (0.74711) | (2.87624) | |
| RTFM(-2) | 1.001470 | 1.065459 | 0.411876 | 0.027091 |
| (2.12401) | (1.04678) | (0.41813) | (0.06209) | |
| (0.47150) | (1.01784) | (0.98504) | (0.43631) | |
| RLA(-1) | 0.033620 | -2.088528 | -0.291723 | -0.383233 |
| (3.99788) | (1.97029) | (0.78702) | (0.11687) | |
| (0.00841) | (-1.06001) | (-0.37067) | (-3.27914) | |
| RLA(-2) | -2.272674 | -3.200231 | -1.169269 | -0.101597 |
| (5.31197) | (2.61791) | (1.04572) | (0.15528) | |
| (-0.42784) | (-1.22244) | (-1.11815) | (-0.65426) | |
| RINV(-1) | -8.008353 | -2.957935 | -0.925485 | 0.218295 |
| (12.8302) | (6.32317) | (2.52576) | (0.37507) | |
| (-0.62418) | (-0.46779) | (-0.36642) | (0.58202) | |
| RINV(-2) | -5.233926 | -4.202650 | -1.605525 | -0.303621 |
| (10.0880) | (4.97168) | (1.98592) | (0.29490) | |
| (-0.51883) | (-0.84532) | (-0.80846) | (-1.02957) | |
| C | 1.821787 | -0.029439 | -0.036139 | -0.017056 |
| (1.38887) | (0.68448) | (0.27341) | (0.04060) | |
| (1.31171) | (-0.04301) | (-0.13218) | (-0.42010) | |
| R-squared | 0.516610 | 0.733949 | 0.692352 | 0.792650 |
| Adj. R-squared | 0.194351 | 0.556582 | 0.487254 | 0.654417 |
| Sum sq. resids | 46.33910 | 11.25504 | 1.795822 | 0.039600 |
| S.E. equation | 1.965093 | 0.968463 | 0.386849 | 0.057446 |
| F-statistic | 1.603087 | 4.138022 | 3.375706 | 5.734144 |
| Log likelihood | -38.10808 | -23.24879 | -3.977582 | 36.07353 |
| Akaike AIC | 4.486484 | 3.071313 | 1.235960 | -2.578431 |
| Schwarz SC | 4.934136 | 3.518966 | 1.683613 | -2.130779 |
| Mean dependent | 5.028571 | 2.733810 | 0.933333 | 0.147619 |
| S.D. dependent | 2.189325 | 1.454374 | 0.540244 | 0.097719 |
| Determinant Residual Covariance | 6.84E-06 | |||
| Log Likelihood | 5.679710 | |||
| Akaike Information Criteria | 2.887647 | |||
| Schwarz Criteria | 4.678257 | |||
| Source: Eview 8.0 output | ||||
The VAR estimate as shown in table 4.3 above show that microfinance bank total fund mobilization as a ratio of GDP (RTFM) was positively related to Nigeria economic growth during the period of this study. That is, it is statistically significant when lagged by one and two period. The RLA coefficient which is microfinance bank loans and advances was positively related to RGDP when lagged by one but turned negative when it was lagged by second period.
On the contrary, the RINV coefficient which is microfinance bank investment as ratio of GDP was negatively related to Nigeria economic growth when lagged by one and two period. By implication RINV have inverse relationship with RGDP in short run. However, the degree of relationship between microfinance bank intermediation variables and economic growth shows a very weak one. The adjusted R square stood at 0.1944. this means that about 19 percent changes in Real GDP were caused by the variables of the model.
4.4.Cointegration Test
| Table-4.4. Johansen Multivariate Cointegration Result | |||
| Date: 10/04/17 Time: 16:36 Sample: 1992 2014 Included observations: 21 Test assumption: Linear deterministic trend in the data Series: RGDP RTFM RLA RINV Lags interval: 1 to 1 |
|||
| Likelihood | 5 Percent | 1 Percent | |
| Eigenvalue | Ratio | Critical Value | Critical Value |
| 0.652866 | 44.21656 | 47.21 | 54.46 |
| 0.433029 | 21.99766 | 29.68 | 35.65 |
| 0.302568 | 10.08127 | 15.41 | 20.04 |
| 0.112822 | 2.513910 | 3.76 | 6.65 |
| *(**) denotes rejection of the hypothesis at 5% (1%) significance level L.R. rejects any cointegration at 5% significance level |
|||
The Johansen multivariate co integration result shown above accepts the null hypotheses of no co-integration between the variables under study. This is because the likelihood ratio of 44.22, 21.99, 10.08 and 2.51 are lesser than the critical value of 47.21, 29.68, 15.41 and 3.76 respectively at 5 percent confidence level. From this result it is obvious that the test show a no- long run equilibrium relationship between gross domestic product and microfinance bank intermediation variables in Nigeria.
4.5. Causality Tests
| Table-4.5. Pairwise Granger Causality Tests | ||
| Date: 10/04/17 Time: 16:34 Sample: 1992 2014 Lags: 2 |
||
| Null Hypothesis: | Obs | F-Statistic |
| RTFM does not Granger Cause RGDP | 21 | 0.39034 |
| RGDP does not Granger Cause RTFM | 7.21487 | 0.00584 |
| RINV does not Granger Cause RGDP | 21 | 0.08290 |
| RGDP does not Granger Cause RINV | 1.17318 | 0.33463 |
| RLA does not Granger Cause RGDP | 21 | 0.49981 |
| RGDP does not Granger Cause RLA | 8.18269 | 0.00357 |
| RINV does not Granger Cause RTFM | 21 | 1.29972 |
| RTFM does not Granger Cause RINV | 0.38420 | 0.68711 |
| RLA does not Granger Cause RTFM | 21 | 0.06074 |
| RTFM does not Granger Cause RLA | 0.08003 | 0.92346 |
| RLA does not Granger Cause RINV | 21 | 0.91107 |
| RINV does not Granger Cause RLA | 1.22416 | 0.32012 |
| Source: E-view 8.0 Output | ||
The result of the pairwise granger causality test conducted with a maximum lag of 2 on the first difference of the linear form of the variable is based on a decision rule. The null hypothesis is that there is no causal relationship between the variables. The null hypothesis is rejected if the probability of F-statistic given in the test result is less than 0.05. From table 4.5, the result reveals that at 5 percent level of significance, microfinance bank total fund mobilization (RTFM), microfinance bank total investment (RINV) and microfinance bank loans and advance (RLA) does not granger cause growth in GDP but causality runs unidirectional from real gross domestic product (RGDP) to total fund mobilization (RTFM), total investments (RINV) and to total loans and advances (RLA) extend to the economy by microfinance bank. This implies that growth in the output level of goods and services in the economy, boost the desire for more investment, raise the productive capacity of the economy, influence and define the pattern/ volume of fund mobilization and credit extended to the economy microfinance banks.
The study sought to examine the financial intermediation functions of microfinance banks in Nigeria using vector autoregressive and multivariate approach. The researcher was able to draw conclusions having critically reviewed salient issues in previous research works. The findings indicated that the key constraints faced by microfinance banks in Nigeria include inequitable distribution of wealth and income and outreaching the poor, regular changes in government policies, lack of requisite human capital, infrastructural inadequacies and socio-cultural misconceptions, corruption, frauds and forgeries and poor corporate governance. Despite this plethora of challenges, there appear to be growing entrepreneurial awareness, increasing government interest, large unbanked and/or underserved rural area and high population of poor and low income households and their microenterprises as opportunities that exist for microfinance subsector. The potential economic benefits of sustainable microfinance in Nigeria cannot be undermined in Nigeria’s development process. To facilitate the development of the microfinance sub sector and thereby unleash its potential for accelerated growth and development, the following recommendations are suggested:
Berenbach, S. and D. Guzman, 1994. The solidarity group experience worldwide. In Maria Otero and Elizabeth Rhyne. The new world of microenterprise finance. London: Kumarian Press, West Hartford, 1994, and Intermediate Technology Publications.
Bhatt, S. and H. Jhaveri, 2008. Micro finance: A one-stop shop for financial services to the poor. Management Trends, 5(1): 85-89. View at Google Scholar
Caskey, J., 1994. Fringe banking: Check-cashing outlets, pawnshops, and the poor. New York: Russell Sage Foundation.
Christen, R.P., R. Elizabeth, V. Robert and C. McKean, 1995. Maximizing the outreach of microenterprise finance: The emerging lessons of successful programs. USAID Program and Operations Assessment Report No. 10, Washington, DC.
Conning, J., 1997. Joint liability, peer monitoring, and the creation of social collateral, Econ Dept., Williams College, draft. Consultative Group to Assist the Poorest [CGAP]. 1996. Microcredit Interest Rates, Occasional Paper No. 1, Washington, DC, August.Dasgupta, R. and K.D. Rao, 2003. Microfinance in India: Issues, challenges, and policy options. Savings and Development, 27(2): 203-237. View at Google Scholar
Dauda, R.S., 2007. The role of community banking system in Nigeria’s development process: An appraisal. Journal of Banking, 2(1): 82-96.
Fisher, T. and M.S. Sriram, 2002. Introduction & introduction to the financial sector in India in Fisher, T and M.S. Sriram (eds.) Beyond Micro-Credit. Putting Development Bank into Micro-Finance. New Delhi: Vistaar Publications in Association with Oxfam and New Economics Foundation. pp: 19-45.
Global Development Research Centre, 2005. Microcredit and microfinance are important poverty reduction tools. Available from http://www.gdrc.org/icm/ [Accessed 23 October 2005].
Goldsmith, R.W., 1969. Financial structure and development. New Haven, CT: Yale University Press.
Grameen Bank, 2000. Annual Report of the Grameen Bank, Dhaka, Bangladesh.
Hall, S.G., S.G.B. Henry and J.B. Wilcox, 1989. The long-run determination of the UK monetary aggregates. Economic Modelling at the Bank of England. Springer Netherlands, 1990: 127-166.
Harper, M., 2002. Self-help groups and Grameen bank groups: What are the differences in Fisher, T. and M.S. Sriram (eds.) Micro-Credit Putting Development Bank into Microfinance. New Delhi: Vistaar Publications. pp: 169-198.
Holt, S., 1994. The village bank methodology: Performance and prospects. In the new world of microenterprise finance, (Ed)., Maria Otero and Elizabeth Rhyne. London: Intermediate Technology Publications.
Iwedi, M. and D.S. Igbanibo, 2015. Modeling financial intermediation functions of banks: Theory and empirical evidence from Nigeria. Journal of Finance and Accounting, 6(18): 159 -174. View at Google Scholar
Khandker, S.R., K. Baqui and K. Zahed, 1995. Grameen bank: Performance and sustainability, world bank discuss. Paper 306, Washington DC.
Ledgerwood, J., 1999. Microinance handbook. Sustainable banking with the poor. An institutional and financial perspective. Washington D.C.: The World Bank.
Mckinnon, R.I., 1973. Money and capital in economic development. Washington D.C: Brookings Institute.
Meyer, R.L., 2002. The demand for flexible microfinance products: Lessons from Bangladesh. Journal of International Development, 14(3): 351-368. View at Google Scholar | View at Publisher
Navajas, S., M. Schreiner, L.M. Richard, C. Gonzalez-vega and J. Rodriguez-meza, 2000. Microcredit and the poorest of the poor: Theory and evidence from Bolivia. World Development, 28(2): 333-346. View at Google Scholar | View at Publisher
Nwankwo, G., 1985. The Nigerian financial system. London: Macmillan Publishers.
Okpara, G.C., 2010. Microfinance banks and poverty alleviation in Nigeria. Journal of Sustainable Development in Africa, 12(6): 177-191.View at Google Scholar
Otero, M. and E. Rhyne, 1994. The new world of microenterprise finance: Building healthy financial institutions for the poor. London: IT Publications.
Patrick, M., 1976. Problems of ineffective government in post-colonial dahomey. Canadian Journal of African Studies, 10(3): 525-528. View at Publisher
Prakash, N., 2009. The impact of employment quotas on the economic lives of disadvantaged minorities in India. Unpublished Paper of Cornell University.
Schumpeter, J.A., 1934. The theory of economic development. Cambridge Mass: Harvard University Press.
Shaw, E., 1973. Financial deepening in economic development. London: Oxford University Press.
Stiglitz, J.E. and A. Weiss, 1987. Credit rationing: Reply. American Economic Review, 77 (1): 228-231. View at Google Scholar
Uppal, R., 2001. The economic determinants of the home country bias in investors’ portfolios: A survey. Journal of International Financial Management and Accounting, 4(3): 171-189.
Von, P.J.D., 1991. Finance at the frontier: Debt capacity and the role of credit in the private economy. World Bank Institute (WBI) development study EDI development studies. Washington, DC: The World Bank Available from http://documents.worldbank.org/curated/en/919701468767070234/Finance-at-the-frontier-debt-capacity-and-the-role-of-credit-in-the-private-economy
Waterfield, C. and A. Duval, 1996. CARE saving and credit sourcebook. Atlanta: Ga. CARE.
Zeller, M. and R. Meyer, 2002. The triangle of microfinance. Financial sustainability, outreach and impact. The International Food Policy and Research Institute. Washington, USA.