Index

ABSTRACT

This study examines the effect of carbon dioxide emissions on economic growth, including investigating whether the CO2-economic growth relationship is dependent on financial development in Nigeria between 1980 and 2020. Due to dwindling economic growth, Nigeria experienced two recessions in one decade. Besides poor growth rates, Nigeria remains a leading emitter of CO2 in the Sub-Saharan region. The motivation for this study derived from the rising level of carbon dioxide emissions in Nigeria which might affect economic growth by dwindling agricultural activities (low output) in some regions, pose health challenges and create a shortage of inputs to agro-allied industries. Hence, this paper attempted to see if there was a causal relationship between carbon dioxide emissions, financial development, and economic growth in Nigeria. The relationship between the variables was examined using the Autoregressive Distributed Lag estimation technique (ARDL) estimation method. The framework for this study has its basis in the endogenous growth theory and utilizes the growth and pollution stock model which showed that sustainable economic growth is influenced by a large stock of pollution (CO2 emission). The results of the boundaries test for cointegration showed a long-term relationship between CO2 emissions, economic expansion, financial development, and energy use. According to empirical data, CO2 emissions have little long-term impact on economic growth. However, there is evidence that the interaction of CO2 emissions and financial development promotes economic growth over the long term, suggesting that CO2 emissions only have an economic influence when there is financial development.

Keywords: Autoregressive distributed lag, CO2 emissions, Economic growth, Energy, Financial development, Interaction marginal effect, Nigeria.

DOI: 10.55284/ajssh.v7i2.736

Citation | Hammayo Abubakar; Kamal Tasiu Abdullahi (2022). Carbon Dioxide Emissions and Economic Growth Nexus in Nigeria: The Role of Financial Development. American Journal of Social Sciences and Humanities, 7(2): 69-84.

Copyright: © 2022 by the authors. This article is an open access article distributed under the terms and conditions of the Creative Commons Attribution (CC BY) license (https://creativecommons.org/licenses/by/4.0/).

Funding : This study received no specific financial support.

Competing Interests: The authors declare that they have no competing interests.

History : Received: 1 September 2022 / Revised: 10 October 2022 / Accepted: 24 October 2022 / Published: 3 November 2022.

Publisher: Online Science Publishing

Highlights of this paper

  • The paper adds to the body of literature that did not look at the moderating effect of financial development on carbon dioxide emissions and economic growth relationship.
  • The findings of the study show there is a long-run relationship between economic growth, CO2 emissions, financial development, and energy consumption.
  • It recommends that there should be adequate funding by the financial sector to investors in the acquisition of advanced machineries, automobiles, and equipments that emit less amount of CO2.

1. INTRODUCTION

Economic growth is the increase in a nation's production capacity, enabling the economy to generate more commodities and services overall (Palmer, 2012). Another result of economic expansion is an increase in real gross domestic product, which shows an increase in the value of national output, income, and expenditure. The Gross Domestic Product (GDP) of an economy is a measure of its size, and the GDP growth rate is a measure of economic development (Picardo, 2020).

The benefits of economic growth include the creation of jobs, greater tax revenue for public expenditures, debt reduction, an increase in life expectancy, increased investment, and improvements in research and development. On the other hand, sluggish economic growth has detrimental impacts on public services, including insufficient health and education facilities, low rates of savings and investment, high rates of unemployment and poverty, an increase in public debt, and less tax revenue than projected (Picardo, 2020).

Events in one country or region of the world can have a significant impact on the chances for growth in another. Nigeria depends heavily on oil exports; therefore a ban on oil exports to the United States, for example, may have a negative impact on Nigeria's economic development. This information is used to compare the economic growth rates of a few selected SSA (Sub-Saharan Africa) countries in Figure 1. Nigeria's GDP growth rate fluctuates across the five-year period from 2015 to 2020, despite the country's abundant natural and human resources. These successions of changes from one time to the next have been attributed to insufficient policy (CBN, 2020).

Numerous factors affect each nation's level of development and economic growth. Different economies employ unique techniques that are adapted to their particular demands and available natural resources to foster rapid economic growth (Ekpo, 2013).

Figure 1. GDP growth rate in selected SSA countries.
Source: WDI (2020).

Having access to electricity is considered necessary for long-term economic development in Nigeria today (Ekpo, 2013). On the other hand, energy-related carbon dioxide (CO2) emissions rise as energy demand does. This is because almost 75% of Nigeria's energy needs are met by fossil fuels (oil and gas) (IEA, 2018). Figure 2 displays plots of CO2 emissions in tons for a sample of SSA countries, including Nigeria.

Figure 2. CO2 emissions in metric tons for selected SSA countries.
Source: WDI (2020).

Nigeria is undoubtedly one of the top SSA carbon emitters as shown in Figure 2. It is noteworthy that Nigeria had the highest CO2 emissions while simultaneously having the lowest growth rates in the SSA group. The poor growth rate experienced by Nigeria in recent years coupled with the excess carbon dioxide emissions could have negative impacts on the environment, agriculture, and overall living standards of Nigerians.

The growth rates of Nigeria's economy have fluctuated over time. Due to slowing economic growth, Nigeria had two recessions in ten years. In real terms, the country's GDP decreased by 1.30 percent between 2015 to the fourth quarter of 2016 (NBS, 2020). This fall was not as significant as the one that was claimed to have occurred in the third quarter of the same year (2.24 percent). Nigeria most recently had a recession in the second and third quarters of 2020, when its GDP decreased by 6.10 and 3.62 percent, respectively, in real terms (NBS, 2020). The country's rising unemployment, declining income, and current insecurity, which include armed robberies, kidnappings, and banditry, to name a few, may be related to Nigeria's poor growth rates.

Despite its modest growth rates, Nigeria remains the largest CO2 emitter in the region. From 119,008.82 million tons in 2012 to 130,130.67 million tons in 2014, Nigeria's CO2 emissions increased by 9.2 percent (IEA, 2018). Nigeria's CO2 emissions for 2019 were estimated by the International Energy Agency to be 104,276.24 million tons (IEA, 2018). This number represents an increase of 271.6% from 1990 levels. The negative effects of high CO2 emissions, which include environmental degradation, poor agricultural yield, insufficient investment in agro-allied sectors, and poor citizen health, might be linked to a fall in economic growth.

Financial development may operate as a mitigating factor on the negative impact of CO2 emissions on economic growth (Hao, Zhang, Liao, Wei, & Wang, 2016). Two examples are given to describe the connection between carbon dioxide emissions, economic expansion, and financial development. The first contends that financial development increases CO2 emissions by providing finances for the purchase of greater CO2 emissions productivity equipment, which in turn has a negative impact on economic growth (see (Ahmed, 2017; Ehigiamusoe & Lean, 2019a; Ehigiamusoe & Lean, 2019b; Tamazian & Rao, 2010) ). On the other hand, some experts contend that growth in financial services leads to increased economic growth and energy demand. By enabling companies to adopt cutting-edge, cleaner technologies and collect money for environmental initiatives at a cheaper cost, effective management and mitigation of carbon dioxide emissions could enhance environmental quality and economic growth (see (Claessens & Feijen, 2007; Tamazian, Chousa, & Vadlamannati, 2009)).

The formulation of this study was prompted by the rise in CO2 emissions in Nigeria. These emissions may affect economic growth by posing health hazards, decreasing the supply of inputs for agro-allied sectors, and decreasing agricultural activity in some locations (or producing very little). This study aims to advance knowledge by exploring the impact of financial development on the relationship between Nigeria's economic growth and CO2 emissions. Fundamentally, it is believed that improvements in financial development will lower CO2 emissions if at any level of changes in financial development there is an influence on the effect of carbon dioxide emissions on economic growth (Brambor, Clark, & Golder, 2006; Ehigiamusoe, 2020).

Despite the abundance of literature on the connection between CO2 emissions, economic growth
and financial development, little attention has been given to the moderating effect of financial

development on CO2 emissions and economic growth in Nigeria has received little attention. In the study carried out by Menson (2017) on the effect of CO2 emissions and the energy mix on economic growth in Nigeria; he did not consider the development of the financial sector. In addition, Omoke, Opuala-Charles, and Nwani (2020) and Rafindadi (2016) investigated the connection between Nigeria's CO2 emissions, economic expansion, and financial development. This research, however, did not consider how financial innovation can lessen the negative consequences of CO2 emissions on economic expansion. Furthermore, these studies did not account for the potential marginal effect that CO2 emissions may have on economic growth at varying financial development levels.

Additionally, CO2 emissions, energy consumption, and economic growth were all examined by Lorember, Goshit, and Dabwor (2020). The study did not include market capitalization over GDP, a comprehensive indicator of the financial sector that measures the volume of liquidity given to the economy by the stock market and other financial institutions. Additionally, Lorember et al. (2020) and Omoke et al. (2020) only conducted examinations that covered the years 1971 through 2014 and 1990, respectively; they did not extend their coverage to 2020. The novelty of this study is ascertaining the moderating role of financial development on the

relationship between carbon dioxide emissions and economic growth in Nigeria by assessing
the marginal effect of CO2 emissions on economic growth at different levels of financial

development. The approach to measuring financial advancement proposed by Alvarez-Cuadrado and El-Attar Vilalta (2018) and Beck and Demirguc-Kunt (2009) which is not used in the previous literature, is also adopted in this research. It uses stock market capitalization over GDP. The study extends its scope to encompass 2020.

2. LITERATURE REVIEW

Few studies have examined the potential modifying effects of financial development on the relationship between CO2 emissions and economic growth, both globally and within particular nations. In Nigeria from 1971 to 2014, Omoke et al. (2020) employed linear and nonlinear Autoregressive-Distributed Lag (ARDL) to assess the impact of financial development on CO2 emissions. The findings show that CO2 emissions are significantly impacted by asymmetries in Nigeria's economic growth.
Additionally, from 1990 to 2016, the use of renewable energy, CO2 emissions, and financial development in Nigeria was examined by Lorember et al. (2020) using the Autoregressive-Distributed Lag (ARDL) and  Vector Error Correction Model (VECM) granger causality tests. The results show that renewable energy consumption improves environmental quality, while financial development adversely affects the environment. Additionally, the results confirmed Nigeria's inverted U-shaped association between environmental degradation and economic expansion. Similar to this, Olabanji and Adeolu (2020) investigated the effects of renewable energy consumption and CO2 emissions on economic growth across the major oil-producing economies in Africa from 1980 to 2015 using the non-linear autoregressive distributed lag (NARDL) modeling technique. In all countries except Algeria, the results show an asymmetric effect of per capita consumption of both petroleum and natural gas on economic growth and carbon dioxide emissions per capita. The findings indicate that in the case of Nigeria, the factors have a nonlinear connection. Menson (2017) also uses annual time series data from 1970 to 2016 to examine how Nigeria's energy mix and CO2 emissions affect economic growth. The study made use of the ARDL limits testing cointegration approach. According to the study's results, both long-term and short-term economic growth is significantly influenced by population growth, primary energy consumption per person, total carbon dioxide emissions, and carbon dioxide emissions per person. Rafindadi (2016) also looked at the connections between Nigeria's economic growth, CO2 emissions, financial development, and trade openness from 1971 to 2011. The study made use of the ARDL bounds test for cointegration and the VECM causality analysis. The study's findings demonstrated that while the demand for energy increased due to financial development, CO2 emissions declined.

Jakada, Mahmoud, Ahmad, Farouk, and Mustapha (2020) also evaluated the uneven effects of financial development on CO2 emissions in Nigeria between 1970 and 2018. The study's findings, which were based on ARDL and NARDL techniques, demonstrate that CO2 emissions are positively connected with financial development but negatively correlated with economic growth and Foreign Direct Investment (FDI).

In contrast, Ehigiamusoe (2020) investigated the factors behind the environmental deterioration in China and the Association of South East Asian Nations (ASEAN) from 1990 to 2016 using the mean group (MG) and pooled mean group (PMG) methods of analysis. The results show that environmental deterioration is hidden by renewable energy, foreign direct investment, and trade openness while it is aggravated by economic expansion, energy consumption, and non-renewable energy sources. Li and Ouyang (2019) examined the dynamic effects of financial development, human capital, and economic growth on carbon emission intensity in China from 1978 to 2015 using the ARDL approach to cointegration. The results show a long-term link between the variables (cointegration), and that financial development has a positive impact on carbon emissions.

Additionally, Adzawal, Sawaneh, and Yusuf (2019) investigated the connection between CO2 emissions and economic growth in the SSA region between 1970 and 2012 using the vector autoregressive and Ordinary Least Squares (OLS) methods. The results demonstrate a monotonically deteriorating relationship between economic growth and CO2 emissions. In addition, Khan, Khan, and Binh (2020) examined the heterogeneity of energy use, CO2 emissions, and financial development using panel data for 192 countries from 1980 to 2018. The authors found using panel quantile regression that energy consumption has a negative influence on carbon emissions whereas financial development has a positive impact. The findings also show that while CO2 emissions produce a decrease in energy use, financial development positively affects energy consumption. The results also demonstrate how carbon emissions and energy use have a big impact on financial development.

3. METHODOLOGY

3.1. Theoretical Framework

The structure of this study is based on the growth and pollution stock model developed by Foster (1973) which shows that a sizable pollution stock affects sustainable economic growth (CO2 emission). The model is consistent with this study which examines the effect of CO2 emissions on economic growth. Pollution and environmental issues are externalities significant in the growth process. Growth in economic activity may increase the level of pollution and environmental degradation which makes it less desirable taking into account the significant value of the environment (Foster, 1973).

Theoretically, the model is specified as follows:

According to the hypothesis and as shown in Equation 1, pollution and output (i.e., economic growth) are related (CO2 emission).

3.2. Modelling

Our research builds on the work of Menson (2017) whose model was derived from Foster (1973) endogenous growth and pollution stock model specified as follows:

Equation 2 is modified and expanded for the purpose of this study in order to include CO2 emissions, financial development, the interaction between CO2 emissions and financial development, and energy consumption to see if they are potential drivers of economic growth as specified in (3.3). The modifications and extensions are as follows:

Equation 3 illustrates the dependence of economic growth on CO2 emissions, financial development, the interaction of CO2 emissions, and financial development and energy consumption.

Thus, the econometric model is specified as:

3.3. Sources and Nature of Data

This study employed annual time series data for its empirical investigation. The data for economic growth (GDP per capita), CO2 emissions (Emissions from manufacturing industries and constructions), financial development (Stock market capitalization over GDP), and energy consumption (Energy consumption per capita) were all sourced from the WDI (2020).

3.4. Method of Analysis

3.4.1. Unit Root Test

The unit root test is performed by employing the Augmented Dickey-Fuller (ADF) and Philips Perron (PP) tests using the t-statistic on the following regression as proposed by Kwiatkowski, Phillips, Schmidt, and Shin (1992).

The test statistic is expected to be negative and statistically significant at either 1%, 5%, or 10% level of significance. Based on the test results, Equation 5 argues that the variables are stationary hence the null hypothesis (H0) is rejected and vice versa.

3.5. ARDL Bounds Test to Cointegration

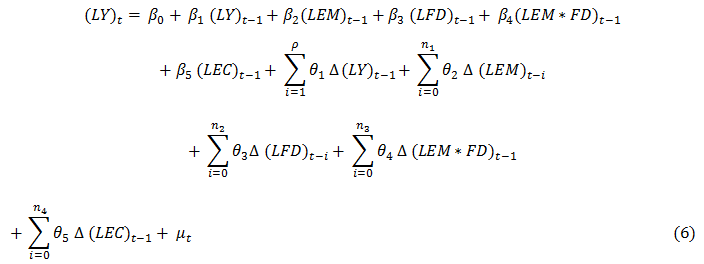
This study adopted the ARDL method of analysis to test for the existence of long-run equilibrium relationship (cointegration) among the estimated variables using the critical bounds testing approach as developed by Pesaran, Shin, and Smith (2001); Pesaran, Shin, and Smith (1999). As shown in Equation 6, the ARDL method assumes a single equation relationship exists between the dependent and the exogenous variables when compared to systems of equations by other techniques (Pesaran et al., 2001). The ARDL model  is specified as:

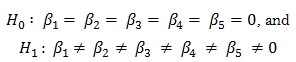
The bounds test is conducted by testing the null hypothesis (H0) against the alternative hypothesis (H1) using the following equations:

The bounds test result obtained from the computed F-Statistic is similar to the result obtained by Pesaran et al. (2001) which states that if the F-Statistic is greater than the upper bound I (1) in each case, the null hypothesis of no cointegration is rejected and it can be concluded that there is cointegration among the series and vice versa. After the confirmation of cointegration among the variables, both the long-run and short-run coefficients were estimated using the models specified in Equation 7 and Equation 8, respectively. It is safe to say that Equations 7and 8 both confirm that there is cointegration in both the long-run and the short-run of the examined variables.

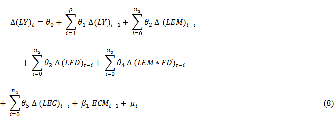
Furthermore, following the confirmation of a long-run linear relationship (cointegration) among the variables, the short-run coefficients are estimated using the short run / Error Correction Model specified in Equation 8 as follows:

serves as the error correction term which is lagged by one period and its coefficient (β1) measures the speed it will take for short-run disequilibrium to be restored in the long run (Bahmani & Ghodsi, 2018).

3.6. Diagnostic and Stability Tests

Some of the diagnostic tests conducted include Breusch- Godfrey (BG) serial correlation test, Jarque-Bera (JB) normality test, Breusch-Pagan-Godfrey (BPG) heteroskedasticity test, and Ramsey Regression Equation Specification Error Test (RESET). Stability tests were carried out in this study which includes the cumulative sum (CUSUM) of recursive residual and also the cumulative sum of squares (CUSUMSQ) of recursive residuals tests, respectively.

4.RESULTS AND DISCUSSIONS

4.1. Summary of Descriptive Statistics and Correlation Analysis

Before beginning our research, we assessed the variables' descriptive statistics and ran a correlation analysis. We then compiled our findings in Table 1. The results show that the average (mean) value of economic growth is 3.23. Additionally, each individual emits 5.63 metric tons of CO2 on average (of total emissions from manufacturing industries and constructions). The results also demonstrate that 14.9% of GDP is attributable to average financial development. And, the individual standard deviations of the variables (5.75) and the CO2 emissions and financial development interaction's standard deviation (44.0) both show a wide range, suggesting that the variables are widely distributed around their mean. Energy consumption (standard deviation: 0.18), CO2 emissions (standard deviation: 1.23), and economic growth (standard deviation: 0.12) all exhibit less dispersion, indicating that the variables are very near to their mean. Furthermore, the results of the correlation matrix are reported in the lower panel of Table 1. The results indicate that there is a high positive correlation between the pairs-CO2 emissions and financial development interaction and financial development (i.e. 0.91) and CO2 emissions and financial development interaction and CO2 emissions (i.e. 0.57). In addition, the results indicate a weak positive correlation between the pairs- economic growth and CO2 emissions and financial development interaction (i.e. 0.40), economic growth and CO2 emissions (i.e. 0.44), economic growth and financial development (i.e. 0.26) and economic growth and energy consumption (i.e. 0.19). Furthermore, there is a weak positive correlation between financial development and CO2 emissions (i.e. 0.10), and energy consumption and financial development (i.e. 0.17). However, there is a weak negative association between the pairs- energy consumption and CO2 emissions (i.e. -0.22) and energy consumption and the interaction of CO2 emissions and financial development (i.e. -0.16).

Table 1. Descriptive statistics and correlation analysis.
Variables
Mean
3.23
5.63
14.9
85.5
0.61
Min
3.06
3.10
8.71
35.28
0.33
Max
3.47
7.83
38.4
259
0.93
Std. Dev.
0.12
1.27
5.75
44.0
0.18
Obs.
41
41
41
41
41
Correlation Analysis
1.00
0.44               
1.00
0.26               
0.10             
1.00  
0.40               
0.57              
0.91                   
1.00
0.19              
-0.22              
0.17                  
-0.16           
1.00

Note: LY = Natural log of economic growth.
LEM = Natural log of CO2 emissions.
LFD = Natural log of financial development.
LEM = Natural log of emissions.
FD = Financial development interaction.
LEC = Natural log of energy consumption.

4.2. Results of Unit Root Test

The results of the unit root test reported in Table 2 indicate that financial development with a value of (-3.56) from the ADF test and (-2.73) from the PP test has no unit root at the 10% level of significance. The values also show that financial development is stationary at level and integrated to order zero [I(0)]. Furthermore, economic growth with a value of (-4.78) has the presence of a unit root at level I(0), but after taking the first difference, the variable became stationary at the 1% level of significance and integrated to order one [I(1)] for the ADF and PP tests, respectively. Also, CO2 emissions with a value of (-6.50) for the ADF test and (-7.10) for the PP test are stationary at the 1% level and integrated to order one [I(1)]. Lastly, energy consumption with a value of (-8.23) for the ADF test and (-8.17) for the PP test is stationary at the 1% level of significance and integrated to order one [I(1)].  The order of integration of the variables which is a mixture of [I(0)] and [I(1)] justifies using the ARDL-bounds test for cointegration.

Table 2. Results of unit root test.
ADF PP
Variables
Level
First
Difference
Level
First
Difference
Stationarity
Status
-0.90
-4.78***
-1.07
-4.78***
I (1)
-1.56
-6.50***
-1.37
-7.10***
I (1)
-3.56*
-----------
-2.73*
-----------
I (0)
-2.54
-8.23***
-2.37
-8.17***
I (1)

Note: *, *** indicates a significant level at 1% and 10%.
ADF = Augmented Dickey Fuller.
PP = Phillip Pherron.
* = significant level at 1%.
***= significant level at 10%.

4.3. Result of Bounds Testing to Cointegration

The result of the bound testing approach presented in Table 3 shows that the computed F-statistic (5.75) is greater than the upper bound I(1) with a value of (4.37) at 1% level of significance. This result implies the existence of a long-run relationship (cointegration) between economic growth, CO2 emissions, financial development, and energy consumption. Having established the existence of a long-run relationship (cointegration) among the variables, the next step is to estimate this relationship between the variables.

Table 3. Results of bounds test to cointegration.
Dependent Variable Function F-statistic
f(LY/LEM, LFD, LEC) 5.7548***
Critical Value Bounds
10%
5%
2.5%
1%
I(0)
I(1)
I(0)
I(1)
I(0)
I(1)
I(0)
I(1)
2.2
3.09
2.56
3.49
2.88
3.87
3.29
4.37

Note: *** denotes a rejection of the null hypothesis of no cointegration at 1% level.
LY = natural log of economic growth
LEM = natural log of CO2 emissions
LFD = natural log of financial development
LEC = natural log of energy consumption

4.4. Results of Estimation of the Short Run and Long Run ARDL Model

The long-run results reported in Table 4 show

that CO2 emissions with a value (-0.07) have a negative and insignificant effect on economic growth. This result is in line with the findings of extant literature (see (Olabanji & Adeolu, 2020)).

Moreover, the results demonstrate that financial development with a value of (-0.13) in the long run has a negative and significant effect on economic growth. Furthermore, CO2 emissions and financial development interaction have a positive value (i.e. 0.02) and a significant effect on economic growth in the long run at 10% significant level. This finding is consistent with the outcomes of past studies (see (Ahmed, 2017; Ehigiamusoe & Lean, 2019a)). Also, energy consumption with the value (0.71) has a positive and significant effect on economic growth in the long run at 10% significant level. This finding is in line with past studies (see (Ahmed, 2017; Olabanji & Adeolu, 2020)). Lastly, the coefficient of the error correction term (i.e. -0.21) lagged by one period  is negative and statistically significant at the 1% level. The negative sign of the Error Correction Term (ECT) coefficient implies the speed of adjustment towards equilibrium in the long run after the short-run distortions. It also indicates that approximately, about 0.23% of the deviation or distortions in economic growth will be corrected within one year.

Table 4. Results of ARDL estimation.

4.5. Results of Diagnostic Tests for the ARDL-ECM Model

In an attempt to ascertain the validity and reliability of the results earlier reported, a diagnostic test for the ARDL-ECM model was conducted which is reported in Table 5.

Table 5. ARDL-ECM model diagnostic tests.
Test Statistic
Results
Serial Correlation: 
0.76[0.55]
Heteroskedasticity: 
0.53[0.44]
Functional Form: Reset F-stat.
0.74 [0.63]
Normality: Jarque-Bera 
4.41 [0.11]

Source: Values in parentheses are probability values.

The test results show that there is no existence of serial correlation in the ARDL-ECM estimators since the ρ-value (0.53) is above 5% significance level. Furthermore, the Breusch-Pagan-Godfrey test was employed to ascertain if the random error terms are homoscedastic, the results show a ρ-value of (0.44) which is above 5% level of significance. The result, therefore, implies that the error terms are homoscedastic. Also, the Jarque-Bera normality test was employed to test for normality in the error term. The test results show a ρ-value of (0.11), this implies that the residuals are normally distributed at 1% level. Also, plots of the CUSUM and CUSUMSQ of recursive residuals do not exceed the critical bounds of 5% level of significance showing that the long-run parameters and the ARDL-ECM model are stable (see Appendix A and B).

4.6. Marginal Effect of CO2 Emissions on Economic Growth at Different Levels of Financial Development

This sub-section shows the computation of the marginal effect of CO2 emissions on economic growth at different levels of financial development which is presented in Table 6.

Table 6. Marginal Effect of CO2 emissions on economic growth at different levels of financial development.

Variable
Coefficient
ρ. value                
Mean
Min
Max
-0.07               
0.49           
-----------
----------  
-----------
-0.13                
0.02              
14.9
8.71
38.4
0.02                
0.02              
(0.21)
(0.09)
(0.64)

Note* is the interaction term.
LEM = natural log of emissions.
LFD = natural log of financial development.
LEM * FD = natural log of the interaction term of CO2 emissions and financial development.

Moreover, from Table 6, the mean (i.e.14.9), minimum (i.e.8.71), and maximum (i.e.38.4) levels of financial development are substituted in in Equation 9 in order to obtain the marginal effect of CO2 emissions on economic growth at different levels of financial development. The results obtained after computations show the marginal effect values for mean (i.e. 0.21), minimum (i.e. 0.09), and maximum (i.e. 0.64) levels, respectively. The findings are consistent with the literature (see Ehigiamusoe (2020) ).

4.7. Discussion of Results

The results of the estimation show that financial development (-0.13) has a negative and significant effect on economic growth in Nigeria. The inverse relationship between the variables suggests that the financial sector of Nigeria has not contributed meaningfully to economic growth during the period under study.

Furthermore, the results indicate that CO2 emissions and financial development interaction (0.02) are positive and show a significant relationship with economic growth at the 10% significant level. This implies that CO2 emissions promote economic growth when interacting with financial development. It also shows that further strengthening of financial sector development will encourage firms and businesses the acquisition of machineries that emits less amount of CO2 thereby reducing its negative effect on economic growth. Also, energy consumption (0.71) is positive and statistically significant at 10% level. The result signifies that access to energy resources is a necessary condition for sustainable economic growth and development.

In the case of the marginal effect of CO2emissions on economic growth, the finding implies that at a higher level of financial development, CO2 emissions promote economic growth (i.e.0.64) than at a lower level of financial development (i.e.0.09). This finding suggests the funding of research and development in the production sector to reduce CO2 emissions. It also implies that financial institutions should adequately fund firms to acquire machineries that emit less CO2 in order to contribute more to economic growth. The findings are consistent with theoretical insight which states that greater economic activity of developing nations falls within the first phase (scale effect) of production where non-renewable energy resources (fossil fuel and gas) form the basis for production thereby resulting in higher CO2 emissions (Grossman & Krueger, 1993; York, Rosa, & Dietz, 2003).

Also, the specification test for the ARDL-ECM model shows that the model is well specified in a linear form, hence there is no specification error. It also shows that all variables included in the model are important and none of them is omitted.

5. CONCLUSION AND RECOMMENDATIONS

The purpose of this study is to examine the role of financial development in the relationship between CO2 emissions and economic growth in Nigeria. The empirical findings using the ARDL estimation approach show that financial development has a negative effect on economic growth while CO2 emission and financial development interaction has a positive effect on economic growth. Moreover, the estimated results show that CO2 emissions have an insignificant effect on economic growth whereas energy consumption has a positive effect on economic growth.

Based on the study’s findings, the following conclusions can be drawn. First, as the Nigerian economy grows so is its level of CO2 emissions, this may be due to the following reasons: inadequate funding for research and development towards energy savings and efficiency to reduce the level of CO2 emissions, inadequate funding by the financial sector to firms and businesses for the acquisition of machineries that emits lesser amount of CO2 and lack of technical know-how with regards to factor inputs combination with lesser CO2emissions in the production process. Second, the adverse effect of CO2 emission on economic growth can be moderated by financial development. Third, energy consumption promotes economic growth.

Furthermore, based on the findings, the study made some recommendations. First, since the economy progresses with an increasing level of CO2 emissions, there is a need for the government to employ a clean production technology and also to reduce fossil fuels (oil and gas) utilization in order to reduce the level of CO2 emissions from productive activities to a moderate rate with efficient productivity across major sectors of the economy.

Second, financial development reduces the level of economic growth based on the results obtained. This finding suggests that the financial sector has not been very supportive in terms of funding critical and productive sectors of the economy. Therefore this necessitates the need for the government to implement policies that will strengthen the financial sector in providing efficient financial services towards boosting economic growth.

Lastly, energy consumption has a positive effect on economic growth. Therefore, the government should employ policies that will enhance energy generation, distribution, and consumption from various sources (particularly renewable energy resources). This will adequately cater to the need of numerous sectors of the economy that depends on energy to operate.

REFERENCES

Adzawal, W., Sawaneh, M., & Yusuf, M. A. (2019). Greenhouse gas emissions and economic growth nexus in Sub-Saharan Africa: Scientific Africa. Scientific African, 3, e00065.Available at: https://doi.org/10.1016/j.sciaf.2019.e00065.

Ahmed, K. (2017). Revisiting the role of financial development for energy-growth-trade nexus in BRICS economies. Energy, 100(128), 487-495.Available at: https://doi.org/10.1016/j.energy.2017.04.055.

Alvarez-Cuadrado, F., & El-Attar Vilalta, M. (2018). Income inequality and saving. Oxford Bulletin of Economics and Statistics, 80(6), 1029-1061.

Bahmani, M., & Ghodsi, S. H. (2018). Asymmetric causality between the US housing markets and its stock market: Evidence from state level data. Journal of Economic Asymmetries, 18, e00095.Available at: https://doi.org/10.1016/j.jeca.2018.e00095.

Beck, T., & Demirguc-Kunt, A. (2009). Financial institutions and markets across countries and over time-data and analysis. World Bank Policy Research Working Paper. No. 4943.

Brambor, T., Clark, W. R., & Golder, M. (2006). Understanding interaction models: Improving empirical analyses. Political Analysis, 14(1), 63-82.Available at: https://doi.org/10.1093/pan/mpi014.

CBN. (2020). Central Bank of Nigeria. Retrieved from: https:// www.cbn.gov.ng.

Claessens, S., & Feijen, E. (2007). Financial sector development and the millennium developme- nt goals. The World Bank Publication No. 89.

Ehigiamusoe, K. U., & Lean, H. H. (2019a). Effects of energy consumption economic growth and financial development on carbon emissions: Evidence from heterogeneous income groups. Environmental Science and Pollution Research, 25(23), 22829-22841.

Ehigiamusoe, K. U., & Lean, H. H. (2019b). The role of deficit and debt in financing growth in West Africa. Journal of Policy Modeling, 42(1), 216-234.Available at: https://doi.org/10.1016/j.jpolmod.2019.08.001.

Ehigiamusoe, K. U. (2020). The drivers of environmental degradation in ASEAN+ China: Do financial development have any moderating effect? The Singapore Economic Review, 2050024.Available at: https://doi.org/10.1142/s0217590820500241.

Ekpo, H. (2013). Promoting inclusive growth in Nigeria: Issues of policies reform people expectation and private sector responses. Public Lecture Delivered on 13th June, 2013 at the University of Lagos, Nigeria.

Foster, B. A. (1973). Optimal capital accumulation in a polluted environment. Southern Economic Journal, 39, 544-547.Available at: https://doi.org/10.2307/1056705.

Grossman, G. M., & Krueger, A. B. (1993). Economic growth and the environment. Quarterly Journal of Economics, 110(2), 353-377.

Hao, Y., Zhang, Z.-Y., Liao, H., Wei, Y.-M., & Wang, S. (2016). Is CO2 emission a side effect of financial development? An empirical analysis for China. Environmental Science and Pollution Research, 23(20), 21041-21057.Available at: https://doi.org/10.1007/s11356-016-7315-8.

IEA. (2018). International energy agency. Retrieved from: www.iea.org.

Jakada, H. A., Mahmoud, S., Ahmad, U. A., Farouk, S. I., & Mustapha, A. U. (2020). Financial development and the quality of environment in Nigeria: An application of nonlinear ARDL approach. Research in World Economy, 11(1), 78-92.

Khan, H., Khan, I., & Binh, T. T. (2020). The heterogeneity of renewable energy consumption carbon emission and financial development in the globe: A panel quantile regression approach. Energy Report, 6(2), 859-867.

Kwiatkowski, D., Phillips, P. C., Schmidt, P., & Shin, Y. (1992). Testing the null hypothesis of stationarity against the alternative of a unit root: How sure are we that economic time series have a unit root? Journal of Econometrics, 54(1-3), 159-178.Available at: https://doi.org/10.1016/0304-4076(92)90104-y.

Li, P., & Ouyang, Y. (2019). The dynamic impacts of financial development and human capital on CO2 emission intensity in China: An ARDL approach. Journal of Business Economics and Management, 20(5), 939-957.Available at: https://doi.org/10.3846/jbem.2019.10509.

Lorember, P. T., Goshit, G. G., & Dabwor, D. T. (2020). Testing the nexus between renewable energy consumption and environmental quality in Nigeria: The role of broad-based financial development. African Development Review, 32(2), 163-175.Available at: https://doi.org/10.1111/1467-8268.12425.

Menson, A. E. (2017). Carbon dioxide emissions energy-mix and economic growth In Nigeria (1970-2016). Journal of Economics and Development Studies, 5(1), 49-63.

NBS. (2020). National bureau of statistics. Retrieved from: www.nigerianstat.gov.ng.

Olabanji, B. A., & Adeolu, O. A. (2020). The role of non-renewable energy consumption in economic growth and carbon emission: Evidence from oil producing economies in Africa. Energy Strategy Reviews, 7, 100434.Available at: https://doi.org/10.1016/j.esr.2019.100434.

Omoke, P. C., Opuala-Charles, S., & Nwani, C. (2020). Symmetric and asymmetric effects of financial development on carbon dioxide emissions in Nigeria: Evidence from linear and nonlinear autoregressive distributed lag analyses. Energy Exploration & Exploitation, 38(5), 2059-2078.Available at: https://doi.org/10.1177/0144598720939377.

Palmer, N. T. (2012). The importance of economic growth. Retrieved from: https://www.cpaireland.ie/CPAIreland/media/Education-Training/Study%20Support%20Resources/F1%20Economics/Relevant%20Articles/the-importance-of-economic-growth.pdf.

Pesaran, M. H., Shin, Y., & Smith, R. P. (1999). Pooled mean group estimation of dynamic heterogeneous panels. Journal of the American statistical Association, 94(446), 621-634.Available at: https://doi.org/10.1080/01621459.1999.10474156.

Pesaran, M. H., Shin, Y., & Smith, R. J. (2001). Bounds testing approaches to the analysis of level relationships. Journal of Applied Econometrics, 16(3), 289-326.Available at: https://doi.org/10.1002/jae.616.

Picardo, E. (2020). The importance of GDP. Retrieved from: https://www.investopedia.com/articles/investing/121213/gdp-and-its-importance.asp.

Rafindadi, A. A. (2016). Does the need for economic growth influence energy consumption and CO2 emissions in Nigeria? Evidence from the innovation accounting test. Renewable and Sustainable Energy Reviews, 62(C), 1209-1225.Available at: https://doi.org/10.1016/j.rser.2016.05.028.

Tamazian, A., Chousa, J. P., & Vadlamannati, K. C. (2009). Does higher economic and financial development lead to environmental degradation: Evidence from BRIC countries. Energy Policy, 37(1), 246-253.Available at: https://doi.org/10.1016/j.enpol.2008.08.025.

Tamazian, A., & Rao, B. B. (2010). Do economic financial and institutional developments matter for environmental degradation? Evidence from transitional economies. Energy Economics, 32(1), 137-145.Available at: https://doi.org/10.1016/j.eneco.2009.04.004.

WDI. (2020). World development indicators. Retrieved from: http://www.worldbank.org.

York, R., Rosa, E. A., & Dietz, T. (2003). STIRPAT IPAT and ImPACT: Analytic tools for unpacking the driving forces of environmental impacts. Ecological Economics, 46(3), 351-365.Available at: https://doi.org/10.1016/s0921-8009(03)00188-5.


APPENDIX.

Appendix A presents the Jarque-Bera Histogram which is also representation of the normality test. With the Jarque-Bera test, degrees of freedom does not depend on the number of observations

Appendix A. Jarque-bera normality test.

Appendix B. Plots of cumulative sum (CUSUM) and cumulative sum square (CUMUSQ) of recursive residuals.

The CUSUM recursive residuals test plots do not exceed the critical bounds of 5% level of significance, implying that the long run parameters and the ARDL-ECM models are stable as show in appendix Ba while plots of the cumulative sum squares of recursive residuals show that the parameters and the ARDL-ECM model are stable over the long run as shown in appendix Bb.

Online Science Publishing is not responsible or answerable for any loss, damage or liability, etc. caused in relation to/arising out of the use of the content. Any queries should be directed to the corresponding author of the article.