Index

ABSTRACT

The multifunctional diversity in agroecosystems must be studied from systemic and comprehensive approaches of non-parametric analysis. This article provides a new beta diversity index and biomathematical equations that quantify the agroecological multifunctional entropy of biodiversity. Ten agroecosystems were studied in: Boaco, Carazo, Chinandega, Estelí and Matagalpa. Agroecosystem approaches were conventional versus agroecological. The organisms captured were at 25 points per agroecosystem, for a total of 225 points. The macrofauna surface was identified over 3.1416 m2, in the center a soil monolith of 0.01875 m3 was explored. The data of the analysis required three visions: the first vision is abundance and functional richness forming the Gangia index by inductive method. The second vision is applying antiderivatives together with the Cartesian plane. The third vision is obtaining a global score. In the agroecosystems, 44 families of macrofauna were observed, 32 of them exerted negative functionality: Scarabaeidae, Chrysomelidae, Elateridae, Formicidae and Gryllidae. The families with positive functionality were 12: Lumbricidae, Sthaphylinidae, Rhynotermitidae and Theridiidae. The most important negative function was phytophagous. The positive functions in order of taxonomic richness were: detritivores, predators, omnivores and soil engineers. With the antiderivatives by taxonomic family, polygonal areas were created. The Boaco´s agroecosystems obtained the largest polygonal area with 735 384.5027 u2. The Gangia index of beta diversity was always higher where a greatest number of taxonomic families prevailed exerting positive functions. The Boaco´s agroecosystems obtained the highest value of the Gangia index of beta diversity with 13.72 points.

Keywords: Agroecology, Macroinvertebrates, Functional biota, Agrobiodiversity, Interactions, Detrimental biota, Bioindicator, Diversified systems.

DOI: 10.55284/cjac.v7i2.684

Citation | Hugo Rene Rodriguez Gonzalez; Hermann A. Jurgen Pohlan; Dennis Jose Salazar Centeno (2022). Gangia Index (Ϫ) of Beta Diversity and Biomathematical Equations Applied to Quantify the Agroecological Multifunctional Entropy: Macrofauna Observed in Agroecosystems of Nicaragua. Canadian Journal of Agriculture and Crops, 7(2): 78-97.

Copyright: © 2022 by the authors. This article is an open access article distributed under the terms and conditions of the Creative Commons Attribution (CC BY) license (https://creativecommons.org/licenses/by/4.0/).

Funding : This study received no specific financial support.

Competing Interests: The authors declare that they have no competing interests.

History : Received: 24 June 2022 / Revised: 10 June 2022 / Accepted: 24 June 2022 / Published: 9 September 2022.

Publisher: Online Science Publishing

Highlights of this paper:

  • This article offers agroecologists an unpublished, novel and genuine Gangia index of beta diversity.
  • This index determines the beta functional interaction between classes, orders, families or species coexisting agroecosystems.
  • The index is applicable in agroecosystems with multiple categories of living beings in tropical, subtropical and temperate regions.

1. INTRODUCTION

Agroecosystems are basic structural units in a space modified by man where their configuration becomes complex or simplified at human will. It is the largest production according to market demand. The exemplary decisions of farmers lead to integrated and diversified systems where the economic, environmental and social rewards are also diversified. This condition is not the common denominator in Nicaragua and this gives a negatively affects in the ecological balance of organisms associated with rural areas of this country.

As an economic sector agriculture must be sustainable in order to sustain by itself. From an ecological point of view, both are focused on maintaining diversity and productivity all the time in its agroecosystems, and from an economic and social point of view, which presupposes meeting the needs of current generations, preserving living conditions for the new generations [1].

The macrofauna has become an effective indicator in the measurement of the bioecological disturbance of agroecosystems. In terms of diversity the macrofauna families are reduced, they become the direct response of the environment to an evident damage caused by an excessively polluting management.

The edaphic fauna is an indicator of soil quality and in the study area the presence of biota indicates that the silvopastoral systems are in good condition in the three sample populations, favoring productivity and symbiotic relationships between species [2].

The analysis of the species of organisms between communities corresponds to beta diversity, determining the landscape as a field of work where two or more communities share the presence and absence of organisms, this reality is being the object of the study.

Beta diversity, should be understood as the change in species composition between sites. It is usually evaluated with dissimilarity indices based on the number of species shared and the number of species exclusive to each site. Methods are studied to elucidate their contribution to the spatial and temporal patterns of beta diversity, as well as the identification of the factors that modifies them [3].

The beta diversity indices that currently exist are focused on the diversity, dominance and evenness of species. It´s uses abundant data to calculate them. These indices are very suitable for ecosystems without any manipulation of human origin. There is no index of diversity and beta functionality that defines the behavior of the diversity of species that responds to the reality of adjacent agroecosystems and in constant production.

The agroecosystems management in Nicaragua does not have a plan with the investigations that guarantee the stability of endemic species of animal and plant origin. They are structured to guarantee the production of essential foods and raw materials. In this context, not all species are capable of adapting to toxically managed agroecosystems. Climate changes has exacerbated this situation. It is a priority to generate conditions so that the species that develop positive functions in the agroecosystem can multiply smoothly and guarantee agroecosystem stability.

The response of the agroecosystem to a disturbance, threat or event is based on biodiversity, functioning and resilience capacity, in these aspects it is important to identify the vulnerability, threats, sensitivity and criticality of the systems [4].

The current state of the art encourages us to infer new forms of non-parametric analysis that allows us to obtain more accurate knowledge that explains the behavior of biodiversity from its structure (abundance, diversity and richness). The positive and negative functionalities are necessary to design agroecosystem environments where it can adapt to disturbances anthropogenic. This article provides a new beta diversity index and biomathematical equations that quantifies the agroecological multifunctional entropy of biodiversity in agroecosystems. In ten of the agroecosystems in Nicaragua macrofauna was observed, due to the sensitive response to anthropic and climatic effects.

2. MATERIALS AND METHODS

2.1 Location and Description of Agroecosystems

The study was carried out in 5 locations in Nicaragua: Condega, Estelí; San Ramón, Matagalpa (coffee production); Diriamba, Carazo; San Felipe, Chinandega (production of basic grains) and Las Lagunas, Boaco (livestock production). Data collection took place between 2015-2019. The agroecosystems were 10 in total Figure 1; two per location. In each one there was diversification of crops with specialization in the items described above.

Figure 1. Ten of the agroecosystem’s location of the macrofauna study, Nicaragua 2015-2019.

In each locality, the selection of the two agroecosystems were based on the proximity between them and the similarity in a main crop. Another parameter was that one of the agroecosystems is managed with a conventional production approach and the second one with the agroecological approach.

2.1.1. Conventional Approach

Agroecosystems that are managed conventionally are characterized by their greatest dependence on external inputs associated with hydrocarbons. The fertilization integrates products such as urea, 12-30-10, 15-15-15 or other formulations obtained from synthetic materials. The organisms are considered harmful to the production entails regulation with insecticides, nematicides, fungicides and other substances considered toxic to the environment. These agroecosystems are characterized by specialization in monocultures.

2.1.2. Agroecological Approach

Agroecosystems managed with an agroecological approach view their actions from a system built by interactions between components; where components are subsystems with crops. Within these agroecosystems, despite of the most important crop, all the others represent additional contributions to the overall systemic productivity. These agroecosystems are characterized by diversified systems.

2.2. Agroecological Multifunctional Entropy

It is the level balance or disorder between the multiple ecological functions of organisms classified as positive or negative coexisting between agroecosystems during agroecological production processes. It is closely related to the Gangia index.

In the 10 of the agroecosystems were observed: four soil orders, three types of climates and four life zones. These multi-environment conditions showed the ability of the macrofauna to adapt to wide variability Table 1.

Table 1. Location and characteristics of the agroecosystems in the current study.
Department
(Location)
Agroecosystem
Latitude (N)
Length (O)
Floor orders
Climate according to Koppen [5]
Life zone
[6]
Boaco
(Las Lagunas)
San Juan*
12°27'24.33"
85°36'39.30"
Mollisols
Aw2
Bsp
Buena Vista**
12°28'15.53"
85°36'38.48"
Aw2
Bsp
Carazo
(Diriamba)
El Manantial*
11°49'20.50"
86°14'22.00"
Entisols
Aw2
Bht
El Chipote**
11°49'18.80"
86°14'30.80"
Aw2
Bht
Chinandega
(San Felipe)
Santa Rosa*
12°39'10.30"
87° 8'4.00"
Andisols
Aw2
Bst
Santa María**
12°41'18.24"
87° 5'8.70"
Aw2
Bst
Estelí
(Condega)
El Milagro de Dios*
13°23'42.50"
86°15'9.59"
Entisols
Aw1
Bhtp
Linda Vista**
13°23'58.20"
86°14'42.54"
Aw1
Bhtp
Matagalpa
(San Ramón)
La Vecina *
12°58'19.16"
85°49'45.37"
Alfisols
S(X´)
Bht
La Espadilla**
12°58'23.05"
85°49'48.08"
S(X´)
Bht
Note: Production Approach: *Conventional; **Agroecological.

2.3. Macrofauna Collection

The macrofauna collection method is described in the article by Rodriguez, et al. [7]. Each sample of macrofauna was transferred to the facilities of the Universidad Nacional Agraria (UNA) for analysis and identification of individuals to the taxonomic family level.

2.4. Beta Diversity Index For a Category of a Taxon Within Two Agroecosystems

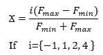
The index was created with the inductive method, it was verified with the deductive method and its mathematical demonstration was carried out with real data collected from the field samples. The Gangia Index of beta functional diversity is described below:

Fmax: Maximum number of individuals of the family h.

Fmin: Minimum numbers of individuals of the family h.

i: Interaction.

Ϫ: Gangia index of beta functional diversity for a taxon among agroecosystems.

2.4.1. Assignment of Interaction Values (i)

The macrofauna families must be categorized according to the functions and interactions performed within the agroecosystems. The value of -1 should be assigned to those families of macrofauna that, due to their behavior and habits, are negative for the farmers economic productivity.

The value 2 is directly assigned to the families of macrofauna that developed purposeful functions within the agroecosystems. These organisms go through processes of metamorphosis throughout their life cycle, the natural process causes that during certain stages, the macrofauna behaves positively or negatively. The arithmetic result of the sum obtained from the values assigned by their multiple interactions during the complete cycle. It can reach values from 1 to 4 Table 2.

Table 2. Values assigned to the interactions determined by taxonomic families of macrofauna that coexist in two agroecosystems.
Assignment
Values i
Interactions (habits)
Direct
-1
Phytophagous, pests, diseases, omnivore, hematophagous, defoliator, parasites
Arithmetic
1
Interaction + and - .Example: (2-1=1)
Direct
2
Predators, detritivores, saprophagous, sarcosaprophagous, coprophagous, pollinator, microvivore
Arithmetic
3
Triple interaction + and + and - .Example: (2+2-1=3)
Arithmetic
4
Double interaction + .Example: (2+2=4)

2.4.2. Mathematical Integration and Verification for a Family within Two Agroecosystems

The scope of this equation must be verified by integration, therefore the following procedure was carried out:

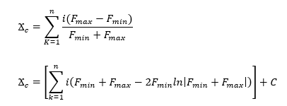
2.4.3. For Several Families within Two Agroecosystems

If k={1,2,3 …n} i={-1,1,2,4}

Where:
Fmax: Maximum number of individuals of the family h.

Fmin: Minimum number of individuals of the family h.

k: Number of families.

n: nth family.

i: Interaction.

c: is a constant equivalent to the average of individuals of the same taxon found between agroecosystems.

Zero (0): it is considered the non-existence of a family.

2.5. Interpretation of the Index

The Gangia index of beta functional diversity represents a numerical result that establishes that the highest value, the greatest the positive functionality develop by the existing macrofauna families in two agroecosystems. Spatial comparison between multi-environment sites is possible and the one with the highest value of functional entropy will be the best designed agroecosystem to the agroecological productivity.

2.6. Elaboration of Graph by Components and Interpretation

The taxonomic families of macrofauna describes a particular behavior in each of the agroecosystems, which includes abundance and positive and/or negative functional behavior. To capture this in a Cartesian plane as a component where each lines represents each family, the Gangia index of beta functional diversity must be used and integrals applied:

The corresponding values of a particular macrofauna family must be substituted in correspondence to the premises set out in Table 2.

Example: Let's look at the Chrysomelidae family. Two individuals of this family were found in agroecosystem "Z" and only one individual in agroecosystem "W". This family is considered a phytophagous. The assigned values will be i=-1, Fmax=2, Fmin=1, see example below:

c: is a constant equivalent to the average number of individuals of the same taxon found between communities. In this case therefore the antiderivative calculated by maximum that will be used to graph will be

By the same method, the Cosmetidae family is plotted. They are predatory and detritivorous arachnids, therefore they are positive organisms. The assigned values are i=4, Fmax=4, Fmin=2

The antiderivative corresponding to the family Cosmetidae isFigure 2.

Figure 2. Example antiderivative resulting from the interaction developed by the Chrysomelidae family (f) and the Cosmetidae family (g) in the agroecosystems “Z” and “W”.

Point A represents the intersection made by the antiderivative f (family Chrysomelidae) on the "y" axis. Point B represents the intersection on the x-axis of that same antiderivative (f). Taxonomic families such as Chrysomelidae with negative functionality generate antiderivatives that starts from positive infinity on the "y" axis in quadrant II and extends towards negative infinity on the "y" axis in quadrant IV.

Point C and D are the intersections made to the axes “x”, “y” by the antiderivative g (family Cosmetidae). Taxonomic families with positive interaction will extend from the negative infinity of the “y” axis in quadrant III to the positive infinity of the “y” axis in quadrant I. The further the intersection goes with the “y” axis is from the center, the population of a family in both agroecosystems is higher.

If all the macrofauna families that intervene in two neighboring agroecosystems are plotted in a single image; it presents intercept points between antiderivatives that represents the possible interactions between families; from a mathematical point of view, these are known as intersections. Intersect E represents the point of interaction between the Chrysomelida family and the Cosmetidae family Figure 2.

When there are more than three families in interaction, the union of these intersects with lines generates a measurable interior polygonal area in u2. The order of union between intersections to form the described area depends on the proximity between the existing intersections and the greater concentration of them in a given space. These characteristics will be explained in the results section.

3. RESULTS AND DISCUSSION

Agroecosystems are environments modified by humans to obtain ecosystem goods and services. All actions carried out in this space have a positive and negative impact on organisms and their populations. Two agroecosystems differently managed can exert a different influence on the same family of macrofauna. In the Buena Vista´s and San Juan´s agroecosystems, 31 related macrofauna families were identified Figure 3.

Figure 3. Positive and negative beta functional diversity antiderivatives between macrofauna families belongs to two agroecosystems with cattle, Las Lagunas, Boaco, Nicaragua 2015-2019.

Biodiversity is the basis of life on the planet and the sustainability of agroecosystems. It is a source of genes and provides a variety of ecological services that, among other things, allow reducing the use of external inputs [8]. It is in this space where the human being has modified what is necessary to satisfy the needs, the reductive consequences on biodiversity are not revealed, as it is a sensitive issue.

The straight lines obtained from the antiderivatives represent each family of interconnected macrofauna in both agroecosystems with cattle. The families Chrysomelidae, Elateridae, Formicidae, Gryllidae, Noctuidae, Scarabaeidae and Tettigoniidae with global negative functionality (anti-derivatives f, g, h, p, q, r, s) describes magnitudes that go from negative infinity in quadrant II extending towards the positive infinity in quadrant IV. Macrofauna families with positive global functionality (antiderivatives f4, t3, s3, r3, q3, p3, h3, g3, f3) such as Meloidae, Cosmetidae, Lumbricidae, Theridiidae, Styloniscidae, Staphylinidae, Spirostreptidae, Scolopendridae, Salticidae and others present lines from negative infinity in quadrant III to positive infinity in quadrant I.

Noctuidae forms a very broad family of insects that generally behaves as defoliators, a negative function for crops. Some species are subterranean and others are fruit borers BIO-NICA [9]. Caballero, et al. [10] mention that this Noctuidae family has an economic importance because during the larval stages its feeding habit is phytophagous. In a study conducted by Hernández, et al. [11], abundance and richness between habitats for dung beetles (Scarabaeidae) as well as butterflies (Noctuidae) were analyzed and no significant differences were found.

This world for farmers is the agroecosystem. The families of macrofauna that behaves as predators of other organisms considered pests regulate populations with their activity. Macrofauna families such as Cosmetidae, Theridiidae, Staphylinidae, Scolopendridae and Salticidae behaves as predators [12-16] . This is observable in the agroecosystems of Boaco´s town.

There are points where two or more antiderivatives intersect. Interactions between s3 and f4 antiderivatives are evidenced, creating the intersection W1 where the families Lumbricidae (detritivore, omnivore and soil engineer) and Meloidae (nectarivore and pollinator) generate positive influences in synergy. Those antiderivatives that generate lines that tend to verticality in quadrants I and III, present level three and four interactions with the highest positivity during their life cycle.

Creating mathematical models that integrate productive, biological, environmental and economic components, increasing complexity, is the current challenge. Agroecosystems should have virtual environments that allow them to simulate models that serve as support for the creation of managing plans adjusted to a design built with components that predict the behavior of production and the interactivity of the species that comprise it. Casas and Maria [17] proposes ex-ante planning through mathematical modeling as a very useful tool that allows a representation that is closest to reality to be obtained. In the agricultural sector, businessmen consider that there is a diversity of objectives and conflicts.

The lines q and r generate the intersection Q1; this represents the interaction between families Noctuidae (phytophagous-nectarivore) and Scarabaeidae (phytophagous-coprophagous). They tend to be negative due to their phytophagous eating habits, obtaining a global functionality of -1.

Contreras and Junior [18] observed pollinating families considered beneficial (Order: Hymenoptera); Aphidae, Halictidae, Formicidae, Vespidae (Order: Diptera); Hoverfly, Bombyliidae, Tachinidae, (Order: Lepidoptera); Noctuidae, Geometridae, Hesperiidae and the Order Coleoptera. It is important to identify the numerical structure of the existing entomofauna.

The area formed between the intersections is equivalent to 735 384.5027 u2, which corresponds to the amplitude of the total interactions reached between magnitudes obtained by the 31 families present in both agroecosystems (Buena Vista and San Juan).

Biological behavior from mathematics is the graphic and numerical representation from its abundance, this data as a basis must move towards functionality to become a value of economic importance, where the environment and management generate positive and negative pressures. Della, et al. [19] explained that in a virtual environment a population of rabbits can be simulated under conditions of natural selection by modifying the characteristics of the rabbits, the type of diagram, their genealogy and another individual can be added to reproduce, the objective of the simulation is that the user add selection pressure to the environment to prevent the world from collapsing from being totally overruned by rabbits.

The results obtained by the macrofauna families were subjected to the Gangia index of beta functional diversity. Families with negative global functionality such as Chrysomelidae, Elateridae, Formicidae, Gryllidae, Noctuidae, Scarabaeidae and Tettigoniidae obtained values of -0.33, -0.52, -0.59, -0.14, -0.75, -0.85 and -0.78, respectively. Families such as Meloidae, Cosmetidae, Lumbricidae, Theridiidae, Styloniscidae, Staphylinidae, Spirostreptidae, Scolopendridae, Salticidae with positive global functionality reached values of 2.54, 1.33, 2.08, 0.4, 1, 0.66, 0, 0.85 and 1.11, respectively. An additional 15 families with this type of behavior were observed. Spirostreptidae presented the same number of individuals in both agroecosystems and obtained a Gangia index of zero, which shows stability in its functional entropy.

Coleoptera of at least three taxa of Nemognathini (Meloidae) have specialized mouthparts for feeding on flower nectar with a deep corolla. Parts of the maxillae are modified to form an elongated proboscis-like organ [20].

In Boaco the Spirostreptidae family behaves as a detritivore in equal balance between agroecosystems, in addition to feeding on decomposing matter, can consume lichens. This is a positive result according to Castillo, et al. [21]. Lojewski and Wenninger [22] affirmed that the family Elateridae presents the wireworm (Coleoptera: Elateridae) as an insect that lives in the soil. Several species of wireworm feed on potato tubers, causing damage that makes the tubers unmarketable. Crop rotation is an alternative for its management. In agroecosystems that share similar families, there are positive and negative functions recorded in the daily actions of agroecosystems.

The sum of all the positive and negative results of the Gangia index of beta diversity for the 31 families reported in the Buena Vista and San Juan agroecosystems resulted in:

Basic grains are grown in the “El Chipote” and “El Manantial” agroecosystems. The macrofauna families that were identified were 16 coexisting in both sites with observable interactions Figure 4.

The abundance of families such as Clubionidae (p1), Elateridae (h) and Gonyleptidae (t1) was the same for both agroecosystems, whose antiderivatives extend parallel to the X axis.

The balance in the number of individuals observed show population stability under equal climatic conditions, with anthropogenic management actions being insignificant.

The antiderivatives that describe lines above the others with respect to the "y" axis indicate a greater abundance of individuals present with respect to the other families of macrofauna.

Explaining reality using mathematics requires numerical and visual abstraction because agroecosystems are complex; component to component under continuous interaction.

Rhinotermitidae with its antiderivative r1 demonstrates this condition by its habits of gregarious behavior. The probability of interaction with other families of macrofauna under this condition is great, this allows the intersections G1, M1, O1, Q1, R1 and S1 to be created Figure 4.

Figure 4. Positive and negative beta functional diversity antiderivatives between macrofauna families belonging to two agroecosystems with basic grains, Diriamba, Carazo, Nicaragua, 2015-2019.

The polygonal area formed for the beta diversity of the agroecosystems “El Chipote” and “El Manantial” (Carazo) was 130 355.2985 u2. This data was lowest than the ones found in Buena Vista and San Juan (Boaco) agroecosystems, which shows a lower beta diversity in Carazo interacting in a lower action spectrum than the ones developed in Boaco.

The families that showed with positive functionality were Gonyleptidae, Lumbricidae, Rhinotermitidae, Polydesmidae, Clubionidae, Armadillidae, Theridiidae, Tenebrionidae, Geometridae, Carabidae and Blattidae, represented by the lines r, s, t, f1, g1, h1, p1, q1, r1, s1 and t1; they have a greater presence in quadrants III and I; obtained a Gangia index of 0, 1.57, 0.31, 0.08, 0, 1.5, 0.85, 0.8, 0, 0.71 and 0.81, respectively.

Lumbricidae is a positive taxonomic family for all agroecosystems. Cuevas [23] mentions as an illustrative example of engineering organisms the earthworms (Lumbricidae) with their action of digging, mixing and expelling, changing the mineral and organic composition of soils, extending this to the dynamics of plant populations and their composition.

Armadillidae is part of the isopod group; these are important members of food chains. They are individuals that can be omnivorous, saprophagous, coprophagous and fulfill the function of increasing the rate of decomposition of organic matter [24].

Most carabid beetles are predators, consuming a wide range type of food and experiencing food shortages in the field. The Caribadae family feeds on plant and animal matter and are probably more significant scavengers than recognized [25].

The families Chrysomelidae and Scarabaeidae with their antiderivatives g and q, respectively, behaved with great functional negativity and intersect at point B2. Gangia index results are -0.33 for Chrysomelidae and 0 for Scarabaeidae.

Sorghum can produce high yields even under adverse environmental conditions, the damage caused by insect pests such as Phyllophaga (Family: Scarabaeidae), which feed on the root of seedlings, reduces its productivity, which affects low-income farmers in the developing countries [26].

The sum obtained from the Gangia beta diversity index of the 16 families of macrofauna reported at the “El Chipote” and “El Manantial” agroecosystems were:

This result are the lowest one compared to the one obtained in the Boaco´s agroecosystems.

Basic grains are grown in the Santa Rosa and Santa María agroecosystems, and 17 families of common macrofauna were found Figure 5. Theridiidae is the family of arachnids that presented the best positive functionality, whose antiderivative (f2) is shown with greater verticality compared to the "y" axis in quadrant I. Other families with positive functionality were: Carabidae, Lycosidae, Lithobiidae, Araneidae, Tenebrionidae, Staphylinidae, Rhinotermitidae, Lumbricidae, Polydesmidae, Oxyopidae and Nitidulidae.

A study made by Cornelius and Osbrink [27] found that termites (Family Rhinotermitidae) were more likely to move into containers with dry peat and potting soil than containers with dry sand and clay. The interaction of soil type and moisture availability influences the distribution of foraging termites in microhabitats.

The antiderivatives that describe negative functionality are the lines p, f, g, h and q; which correspond to the macrofauna families: Elateridae, Chrysomelidae, Scarabaeidae, Noctuidae and Formicidae, respectively Figure 5. The antiderivative “p” represents the Elateridae family with the largest population and behaves more negatively than the others, moving from quadrant II at positive infinity on the “y” axis to quadrant IV towards negative infinity. The Gangia index of the Elateridae family is equal to – 0.5833. The macrofauna family that is more vertical and closer to the "y" axis from quadrant II to IV represents a greater beta negativity, in both agroecosystems.

Formicidae is the family to which the zompopos belong. According to Vásquez-Bolaños [28], environments altered by human being represent an opportunity for some species, especially for introducing invasive species, such as ants. These organisms cut leaves on important crops and are considered pests in tropical countries.

The calculated polygonal area of the interactions between the macrofauna families of the Santa Rosa and Santa María agroecosystems resulted in 372 936.33 u2.

The antiderivatives of the macrofaunal families: Scarabaeidae and Formicidae are g and q, respectively, intersect at A1 and represent the most negative interaction Figure 5.

With the soil removal the ants’ families provides suitable oxygen levels in it, which guarantee the population of the Scarabaeidae larvae.

The detritivorous families of Scarabaeidae and Tenebrionidae (Insecta: Coleoptera), play an important role in the process of decomposition and recycling of nutrients. These organisms are feed on substances obtained from dead plants and animals [29].

The Gangia index of beta diversity of the 17 families of macrofauna observed in the Santa Rosa and Santa María agroecosystems were:

Figure 5. Positive and negative beta functional diversity antiderivatives between macrofauna families belonging to two agroecosystems with basic grains La Grecia, Chinandega, Nicaragua 2015-2019.

When comparing the results of the Gangia index obtained in Carazo and Chinandega, the greatest number of families in Chinandega does not determine a higher value of the index. If the families observed correspond to negative functions, as Chinandega case, the index is reduced mathematically by identifying such interactions.

In Condega, Estelí; the agroecosystems with coffee cultivation, Linda Vista and “El Milagro de Dios”, were the setting for the presence of 18 common families of macrofauna Figure 6. Of these, 12 families showed a positive behavior Lumbricidae, Theridiidae, Tetragnathidae, Staphylinidae, Rhinotermitidae, Mantidae, Lithobiidae, Gelastocoridae, Ctengae, Clubionidae, Araneidae and Agelenidae, observable in the antiderivatives t1, s1, r1, b, q1, p1, h1, g1, a, f1, t and s, respectively.

Individuals of the Mantidae family are voracious predators that feed on a wide variety of insects such as flies, leafhoppers, grasshoppers and different types of larvae. They are found on plants or on the ground, blending in the environment, stalking their preys with their front legs raised [30].

Clubionidae is a macrofauna family of that behaves as predators and is considered mainly hunters along with families such as Oxyopidae, Salticidae and Thomisidae [31]. Another family of predators is Gonyleptidae [32].

The families Mantidae and Ctengae with positive behavior are observed parallel above the x-axis with their antiderivatives “p1” and “a”, because in both agroecosystems the two families presented equal abundance Figure 6.

Figure 6. Positive and negative beta functional diversity antiderivatives between macrofauna families belonging to two agroecosystems with coffee, Condega, Estelí, Nicaragua, 2015-2019.

There are six families that behave negatively: Scarabaeidae, Noctuidae, Gryllidae, Formicidae, Elateridae and Cicadidae (antiderivatives r, q, p, h, g and f). Of these, the antiderivative "h", almost horizontal with respect to the "x" axis, belongs to the Formicidae family, shows 13 interactions between the intersections G1 and V.

Individuals of the families Acrididae and Gryllidae are always associated with crops such as corn, confirmed by studies of the composition, abundance and diversity of soil insects in an agricultural field [33].

This family is very active in the soil, it removes particles, builds galleries, improves the structure, which enables the best interaction with other families; and it creates necessary conditions for the development of other families in the soil.

The Formicidae family is classified as negative species when destroying foliage of those crops which are import in the agroecosystems. The Gangia index is the beginning of a mathematical analysis that verifies an ecosystem support service.

In Condega, Linda Vista and “El Milagro de Dios” agroecosystems, the macrofauna families describe a polygonal area that is equivalent to 8 311.88 u2. If the interactions between families occur more towards the center, the area described between the antiderivatives will be smaller and their probability of the greater interaction.

In the Santa Rosa and Santa María agroecosystems, 18 common families were observed and obtained a Gangia index of beta diversity of:

of the total number of families behave with positive results, the Gangia index tends to be higher towards positivity.

In Matagalpa, 14 macrofauna families were observed in both of these agroecosystems (La Espadilla and La Vecina). Coffee cultivation is the most important crop of these agroecosystems. There were six negative families identified: Scarabaeidae, Pentatomidae, Gryllidae, Formicidae, Curculionidae and Chrysomelidae, with antiderivatives r, q, p, h, g and f, respectively Figure 7. All of these antiderivatives extend from quadrant II at positive infinity on the y-axis to quadrant IV at negative infinity on the y-axis.

Figure 7. Positive and negative beta functional diversity antiderivatives between macrofauna families belonging to two agroecosystems with coffee, San Ramón, Matagalpa, Nicaragua, 2015-2019.

The antiderivative “r” belongs to the family Scarabaeidae; this line is almost parallel to the x-axis from negative infinity to positive infinity. This activity and interactions are evidenced by spending this initial stage of its biological cycle underground, which, like earthworms, represents a support from the point of view of its coprophagous function. This negative function appears when it behaves as a root phytophagous in crops of agricultural importance.

The creation of antiderivatives requires specifying indefinite integrals that, due to the complexity of the phenomenon to be explained, does not result in a single algebraic statement that explains reality, this leads us to create a series of antiderivatives that demonstrates the behavior of agroecosystems. Gordillo and Pino-Fan [34] mention how to approach functions through integral calculus, indicating what to do when they cannot be expressed in elementary form. This indication makes us find the solution by methods other than the elementary ones, making the function can be integrable by the nature in question that provides the solution.

Algorithmic geometry is the union between computer science and classical geometry. Algorithms are implemented from a topological point of view using techniques derived from set theory, graph theory and algebra, solving unidimensional problems to subsequently solve other multidimensional ones [35].

The macrofauna families that were identified as positive were eight: Forficulidae, Lumbricidae, Styloniscidae, Staphylinidae, Spirostreptidae, Scolopendridae, Rhinotermitidae and Nabidae; and their antiderivatives are: r1, q1, p1, h1, g1, f1, t and s, respectively. The g1 antiderivative belongs to the Spirostreptidae family and has an amplitude of up to 12 verifiable interactions between the intersections S and L. This family of myriapods belonging to the diplopoda class, at ground level, represents an important detritivorous function, interacts with the others and contributes to the stability of the agroecosystem. In all localities, the antiderivatives that represent families of macrofauna that behave positively, their lines move from quadrant III at negative infinity of the x-axis to quadrant I towards positive infinity of the x-axis.

Terrestrial isopods such as Styloniscidae are important and dominant component in soil meso- and macrodecomposer communities. The quantitative difference in the composition of species between secondary forest and the Pinus sp. cultivation, would indicate the greatest richness in native forests compared to monoculture [36].

Millipedes such as those in the Spirostreptidae family rank as the third most important detritivores after termites and earthworms, and are considered keystone species in many terrestrial ecosystems [37]. The predatory capacity of centipedes or chilopods (Family: Scolopendridae) lies in the forcipules; a formidable biological weapon that is the result of the fang-like modification of the first pair of walking legs. The callipers are located on the head, just to the sides of the mouth [38].

In San Ramón, Matagalpa, the macrofauna families present in La Espadilla and La Vecina agroecosystems generated an interior polygonal area equivalent to 358 612.99 u2. The common macrofauna families in both agroecosystems were 14; whose Gangia index of beta diversity was quantified in:

After analyzing the five localities and their beta diversity, there is no direct correlation between the polygonal areas described in Figures 3, 4, 5, 6 and 7 and the result obtained with the Gangia beta diversity index. The polygonal area is more influenced by the distance between the interactions of the macrofaunal families and the probability that two families interact with each other. The more common macrofauna families that exist in two agroecosystems, the greater the probability of interaction the greater the polygonal area.

The sum of the values of the Gangia beta diversity index represents the final numerical magnitude of the positive functions of the macrofauna families, after having carried out a subtraction equivalent to the value of the negative functions performed by the macrofauna families. These macrofauna families with negative functionality act to the detriment of the commercial productivity of the agroecosystem and, in contrast, the vital importance for the ecological systemic balance inherent to these sites.

The edaphic macrofauna contributes with important ecosystem services such as the sequestration and release of carbon, the regulation of the composition of atmospheric gases and climate change. The negative effects of the changes and intensity of land use on the edaphic macrofauna reaffirms the role as a bioindicator [39].

Biodiversity is a resource that is currently exploited, without taking into account the sustainability or conservation, and for this reason it is necessary to have knowledge of the species, promoting responsible tourism and agricultural activities, without disturbing them [40].

The agroecosystems that obtained a higher value of the Gangia beta diversity index represent productive environments with better agroecological manage, which evidences the systemic functional efficiency among the agroecosystems.

4. CONCLUSIONS

The functional diversity of the macrofauna families exists due to a multiple behavior in feeding habits. These organisms’ development in their different phases of the life cycle allows functional diversity. The overall result of quantifying this behavior presents us with two alternatives: one positive and one negative. The taxonomic of macrofauna families observed in ten agroecosystems were 44 in total. The most important macrofauna families from their positive role in agroecosystems were: Lumbricidae, Sthaphylinidae, Rhinotermitidae and Theridiidae. The families with a negative function present in multiple agroecosystems were: Scarabaeidae, Chrysomelidae, Elateridae and Gryllidae.

The antiderivatives obtained reflect negativity or positivity from the data of the macrofauna organisms. This allows to obtaining figures that describe the systemic behavior of all organisms in defined space and time. The intersections between antiderivatives generate interaction points that define the borders of the edges necessary to delimit quantifiable polygonal areas. This reflects the complexity of each pair of neighboring agroecosystems sharing and exchanging organisms from the same family. The agroecosystems in Boaco reached 735 384.5027 u2, obtaining the largest polygonal area described.

The Gangia index of beta diversity represents a deterministic result to quantify the activity of the macrofauna present between agroecosystems. This from the point of view of abundance, richness and positive or negative functionality in agroecosystems. This index can be calculated in multiple groups of plants, animals, mesofauna and microfauna in agroecosystems.

The main positive functions that were found are detritivores, predators, omnivores and soil engineer. The negative functions were led by phytophagous that are mostly defoliators, consumers of roots and plant fluids. The agroecosystems in Boaco obtained the highest level in the Gangia index of beta diversity with 13.72 of functional entropy.

5. ACKNOWLEDGEMENT

A very special acknowledgment to the institutions that support us: The Universidad Nacional Agraria (UNA) of Nicaragua and the Unión Nacional de Agricultores y Ganaderos de Nicaragua (UNAG)  of Nicaragua for providing us with logistical support during all the activities. Thanks to all the farmers, undergrad and postgraduate students for all the support given during the study of the biodiversity present in each of the agroecosystems.

REFERENCES

[1]          O. B. Burgo Bencomo, V. Gaitán Suazo, J. Yanez Sarmiento, Á. A. Zambrano Morales, G. Castellanos Pallerols, and J. A. Estrada Hernández, "The circular economy a sustainable alternative for the development of agriculture," Spaces, vol. 40, p. 2, 2019.

[2]          D. M. Caicedo Rosero, H. R. Benavides Rosales, L. A. Carvajal Pérez, and J. P. Ortega Hernández, "Population of macrofauna in silvopastoral systems dedicated to dairy production: Preliminary analysis," THE FARM. Journal of Life Sciences, vol. 27, pp. 77-85, 2018.Available at: https://doi.org/10.17163/lgr.n27.2018.06.

[3]          J. Calderón-Patrón and C. Moreno, "Beta diversity as dissimilarity: Its partition into replacement components and differences in richness," Biodiversity in a Changing World: Theoretical and Methodological Foundations for its Study, pp. 203-222, 2019.

[4]          L. Cleves, A. José, and J. T. C. José, "The main agroecological structure: dissipative structure of environmental adaptation in agriculture," presented at the Congress, Madrid, Spain: National Environment Congress, 2018.

[5]          E. García, "Modifications to the Köppen climate classification system.» Edited by Institute of geography," Scientia Horticulturae (National Autonomous University of Mexico), vol. 140, pp. 131-139, 2004.

[6]          L. R. Holdridge, Ecology based on life zones San José: Inter-American Institute of Agricultural Sciences, 1978.

[7]          G. Rodriguez, R. Hugo, and J. S. C. Dennis, "Agroecological heuristics: Xi(Ξ) biomathematical models of alpha diversity and lambda functional entropy index (λ) applied for macrofauna in diversified agroecosystems of Nicaragua," Journal of Agriculture and Rural Development in the Tropics and Subtropics, vol. 122, pp. 299-310, 2021.

[8]          S. A. Stupino, N. María José Lermanó, G. M. Agustina, and M. Bonicatto., Biodiversity in agroecosystems." In Agroecology: theoretical bases for the design and management of sustainable agroecosystems, by Santiago Javier Sarandón and Claudia Cecilia Flores vol. 131. Buenos Aires, Argentina: UNLP, 2014.

[9]          BIO-NICA, "Entomological fauna of nicaragua.» Family Noctuidae. Retrieved from: http://www.bio-nica.info/Ento/Lepido/noctuidae.htm.," 2022.

[10]        R. Caballero, D. H. Habeck, and K. L. Andrews, "Illustrated key to economically important Noctuid larvae from El Salvador, Honduras and Nicaragua," Kapok, vol. 35, pp. 225-237, 1994.

[11]        B. Hernández, M. M. Jean, A. Celia, S. V. Harvey, M. Arnulfo, and S. Dalia, "Abundance and diversity of dung beetles and diurnal butterflies in a cattle landscape in the department of Rivas, Nicaragua," Agroforestry of the Americas, vol. 10, pp. 39-40, 2003.

[12]        R. J. Miranda, L. Ingrid, J. J. Murgas, V. Lezcano, and R. Townsend, "Field observations on interactions between three groups of predatory arachnids in Panama," Technoscience, vol. 21, pp. 5-13, 2019.

[13]        E. Líznarová and S. Pekár, "Trophic niche and capture efficacy of an ant-eating spider, Euryopis episinoides (Araneae: Theridiidae)," The Journal of Arachnology, vol. 47, pp. 45-51, 2019.Available at: https://doi.org/10.1636/0161-8202-47.1.45.

[14]        R. Maruthadurai, R. Ramesh, and C. Veershetty, "Prevalence and predation potential of Rove Beetle paederus fuscipes curtis (Coleoptera: Staphylinidae) on invasive fall Armyworm spodoptera frugiperda in sodder maize," National Academy Science Letters, vol. 45, pp. 119-121, 2022.Available at: https://doi.org/10.1007/s40009-021-01096-1.

[15]        D. Cabanillas, "Extension of the distribution of Scolopendra cingulata Latreille, 1829 and Scolopendra oraniensis Lucas, 1846 (Chilopoda, Scolopendromorpha, Scolopendridae) in the Community of Madrid (Spain)," Photography and Biodiversity Association, vol. 43, pp. 55-77, 2019.

[16]        O. Michálek, S. Pekár, and C. R. Haddad, "Fundamental trophic niche of two prey-specialized jumping spiders, Cyrba algerina and Heliophanus termitophagus (Araneae: Salticidae)," The Journal of Arachnology, vol. 49, pp. 268-271, 2021.Available at: https://doi.org/10.1636/joa-s-20-060.

[17]        M. Casas and L. Maria, "Ex - ante planning of land use with multi-objective programming, in a crop and cattle farming agroecosystem in Valle del Cauca, Colombia," Thesis, Palmira, Colombia: National University of Colombia, 2018.

[18]        C. Contreras and H. Junior, "Numerical structure of the entomofauna in forest species of the Mantaro Valley," Thesis, Huancayo: National University of Central Peru, 2016.

[19]        C. Della, M. Gisella, and O. Maricel, "Analysis of computational simulations for teaching the model of biological evolution by natural selection," Eureka Magazine on Teaching and Popularization of Sciences, vol. 17, pp. 1-22, 2020.

[20]        A. P. Wilhelmi and H. W. Krenn, "Elongated mouthparts of Meloidae (Coleoptera) that feed on nectar," Zoomorphology vol. 131, pp. 325-337, 2012.

[21]        Á. Castillo, C. Cristhian, P. S. Camilo, and G. G. Alexander, "First record of the intake of lichenized fungi by diplopods (Myriapoda) in eastern subregion of sumapaz, Colombia," Bulletin of the Aragonese Entomological Society, vol. 57, pp. 358-360, 2015.

[22]        J. A. Lojewski and E. J. Wenninger, "Comparison of two different statistical methods for assessing insecticide efficacy in small plot trials targeting wireworms, limonius californicus (Mannerheim) (Coleoptera: Elateridae), in Potato," American Journal of Potato Research, vol. 96, pp. 578-587, 2019.Available at: https://doi.org/10.1007/s12230-019-09748-1.

[23]        B. A. Cuevas, "A naturalistic view of the ontology of technical entities," Humanities (Montevideo. Online), vol. 21, pp. 145-172, 2021.

[24]        A. Waller Panzardi, Taxonomic composition and population structure of terrestrial isopods (Crustacea, Isopoda, Oniscidea) in a natural environment and in a farmed environment. Montevideo: University of the Republic, 2012.

[25]        G. L. Lovei and S. D. Keith, "Ecology and behavior of ground beetles (Coleoptera: Carabidae)," Annual Review of Entomology, vol. 41, pp. 231-256, 1996.

[26]        O. Olabimpe, A. C. Okosun, J. P. Kerry, and R. G. V. Glover, "Biology, ecology, and management of key sorghum insect pests," Journal of Integrated Pest Management, vol. 12, pp. 1-18, 2021.

[27]        M. L. Cornelius and W. L. Osbrink, "Effect of soil type and moisture availability on the foraging behavior of the Formosan subterranean termite (Isoptera: Rhinotermitidae)," Journal of Economic Entomology, vol. 103, pp. 799-807, 2010.Available at: https://doi.org/10.1603/ec09250.

[28]        M. Vásquez-Bolaños, "Ants (Hymenoptera: Formicidae) present in CUCBA, Zapopan, Jalisco, Mexico," e-CUCBA, pp. 48-54, 2020.

[29]         O. Bubenas, Z. Fernando, F. Andrea, and D. Liliana, Recycling beetles: Tenebrionidae and Scarabaeidae in forest environments of the province of Santiago del Estero, with different edaphic floristic characteristics. Santiago del Estero, Argentina: National University of Santiago del Estero, 2013.

[30]        R. Nájera, B. Miguel, and S. Brígida, Insectos benéficos. Minas Gerais: UFLA, 2010.

[31]        A. Armendano and A. González, "Effect of spiders (Arachnida: Araneae) as predators of pest insects in alfalfa (Medicago sativa)(Fabaceae) crops in Argentina," Journal of Tropical Biology, vol. 59, pp. 1651-1662, 2011.Available at: https://doi.org/10.15517/rbt.v59i4.3427.

[32]        A. Segalerba and T. G. A. Charles, "Description of the defensive behavior of four neotropical mowers (Laniatores: Gonyleptidae) against a synchronous and sympatric wolf spider (Araneae: Lycosidae)," BioOne, vol. 17, pp. 52-58, 2016.

[33]        C. Livia, G. Sánchez, and L. Cruces, "Diversity of soil insects associated with maize (Zea mays L.) cultivation in La Molina/Lima/Peru," Applied Ecology, vol. 19, pp. 57-64, 2020.Available at: https://doi.org/10.21704/rea.v19i2.1556.

[34]        W. Gordillo and L. R. Pino-Fan, "A proposal to reconstruct the holistic meaning of the antiderivative," Bolemma: Mathematics Education Bulletin, vol. 30, pp. 535-558, 2016.Available at: https://doi.org/10.1590/1980-4415v30n55a12.

[35]        M. A. Rodriguez, Repulsion in polygonal regions. Madrid, Spain: E.T.S. of Computer Engineers (UPM), 2019.

[36]        P. d. S. Bugs, P. B. Araujo, M. d. S. Mendonça Júnior, and R. Ott, "Diversity and population characteristics of terrestrial isopods (Crustacea, Oniscidea) across three forest environments in southern Brazil," Iheringia Zoology Series, vol. 104, pp. 334-340, 2014.Available at: https://doi.org/10.1590/1678-476620141043334340.

[37]        T. Horvathova, "Methanogenesis in the digestive tracts of the tropical millipedes archispirostreptus gigas (Diplopoda, Spirostreptidae) and Epibolus pulchripes (Diplopoda, Pachybolidae)," Applied and Environmental Microbiology, vol. 87, pp. 1-13, 2021.

[38]        F. Cupul-Magaña, "The centipede: A bug that looks like the edge of an old mat," Biodiversitas, vol. 88, pp. 8-11, 2010.

[39]        G. D. L. C. C. Dávila, J. A. S. Rendón, and D. P. De León Lima, "Edaphic macrofauna: Composition, variation and use as a bioindicator according to the impact of soil use and quality," Cuban Botanical Act, vol. 221, pp. 1-21, 2022.

[40]        M. Anteparra, A. Magaly, and L. Granados, "Description of some species of mantodea collected in the Tingo María National Park, Huánuco," Research and Amazon, vol. 3, pp. 15-19, 2013.

Online Science Publishing is not responsible or answerable for any loss, damage or liability, etc. caused in relation to/arising out of the use of the content. Any queries should be directed to the corresponding author of the article.