Index

ABSTRACT

The purpose of this paper is to develop an endogenous growth model with perfect competition and monopolistic competition on the basis of two main theories – neoclassical growth theory and new growth theory – in economics. Our model is based on three of most well-known models in economic theory: the Solow one-sector growth model, the Dixit-Stiglitz growth model, and the Romer growth model with endogenous knowledge. The paper integrates the basic models in economic theory within a comprehensive framework by applying the utility function and the concept of disposable income proposed by Zhang. This study deviates from the Solow model in that knowledge is endogenous and markets are competitive and monopolisticly competitive. We deviate from the Dixit-Stiglitz model in that capital is endogenous and non-zero profits are distributed to households and research activities. We deviate from the Romer model in that knowledge is through Arrow’s learning by doing as well as research. We build the growth model and then simulate its behavior. We demonstrate a unique stable equilibrium point. The stability is partly due to the fact that our growth force is neoclassical and knowledge accumulation is assumed to exhibit negative returns to scale in knowledge. We also plot the motion of the economy. We examine effects of changes in different parameters to show effects of exogenous changes on transitory process and long-term equilibrium structure.

Keywords: Solow growth model, Romer growth model, Dixit-Stiglitz model, perfect competition, monopolistic competition, profit distribution.

JEL Classification: O41; D43.

DOI: 10.20448/809.5.1.1.16

Citation Wei-Bin Zhang (2020). Creativity, Returns to Scale, and Growth by Integrating Solow, Dixit-Stiglitz, and Romer. Eastern Journal of Economics and Finance, 5(1): 1-16.

Copyright: This work is licensed under a Creative Commons Attribution 3.0 License

Funding : This study received no specific financial support.

Competing Interests: The author declares that there are no conflicts of interests regarding the publication of this paper.

History : Received: 11 March 2020 / Revised: 13 April 2020 / Accepted: 18 May 2020 / Published: 16 June 2020.

Publisher: Online Science Publishing

Highlights of this paper

  • The purpose of this paper is to develop an endogenous growth model with perfect competition and monopolistic competition on the basis of two main theories – neoclassical growth theory and new growth theory – in economics.
  • This study deviates from the Solow model in that knowledge is endogenous and markets are competitive and monopolisticly competitive.

1. INTRODUCTION

In his two well-cited articles, “Increasing Returns and Long-Run Growth” and “Endogenous Technological Change”, Romer (1986); Romer (1990) made important contributions to endogenous economic growth in new growth theory. Although traditional neoclassical growth theory had analyzed interdependence between growth and technological change (e.g., (Zhang, 2005; Zhang 2008)), most of the models in the literature are limited to economies with perfect competition. Romer’s approach, which is much influenced by Dixit and Stiglitz (1977) as far as modelling monopolistic competition is concerned, makes a realistic improvement on neoclassical growth theory by emphasizing endogenous innovation and monopolistic competition. This paper deal with similar issues as addressed by Romer. Nevertheless, a main problem in Romer’s models is the lack of proper modelling of wealth accumulation. Wealth accumulation which is the main mechanism of neoclassical economic growth is absent in new growth theory. We make a unique contribution to the literature by introducing endogenous wealth accumulation to new growth theory by integrating the Solow model and Romer model with the Dixit-Stiglitz approach to monopolistic competition and Zhang’s alternative approach to modelling behavior of households.

Perfect competition and monopolistic competition have been analyzed in economic growth theory, not in an integrated manner but in separate frameworks. Moreover, partly due to modelling difficulties, neoclassical growth theory mainly deals with perfect competition with capital accumulation, while new growth theory mainly deals with knowledge accumulation with monopolistic competition. It is obvious that in modern economies not only physical capital accumulation, but also human capital, knowledge or varieties of goods are key factors for explaining growth; not only perfect competition but also other forms of market structures are essential for modelling behavior of firms and governments and for explaining economic growth and development. Our analytical framework is partly similar to the Solow model (Solow, 1956) and partly to the Romer model (Romer, 1990). Like in the Romer model, the economy has three sectors, the final goods sector, the middle goods sector, and research sector. The final goods sector is characterized by perfect competition and produces a single homogenous capital goods with identical firms. The middle goods sector is characterized by monopolistic competition and produces a variety of different goods with different firms. The research sector create knowledge with parts of the total profit of the middle goods sector as sole financial source. 

With regard to modelling production and consumption of middle goods with monopolistic competition, we follow Dixit and Stiglitz (1977). Monopolistic competition is characterized by many firms who produce differentiated products. Products are differentiated from each other and are not perfect substitutes. Each firm takes the prices charged by other firms as given and maximizes its profit. Each firm has some degree of market power. Market power is measured by power over the terms and conditions of demand and supply equilibrium. Macroeconomics with monopolistic competition has recently become a mainstream of economic theory. The theory of monopolistic competition is used to model different economic issues related to market structures, economic growth, economic geography, regional economy, international trade, and innovation and technological diffusion (e.g., (Benassy, 1996; Bertoletti & Etro, 2017; Grossman & Helpman, 1990; Krugman, 1979; Krugman., 1980; Lancaster, 1980; Nocco, Ottaviano, & Salto, 2017; Parenti, Ushchev, & Thisse, 2017; Waterson, 1984) ). Zhang (2018) contributes the literature by introducing monopolistic competition to neoclassical growth theory by applying the modelling strategy by Dixit and Stiglitz (1977). This study further generalizes Zhang’s model by introducing research and endogenous knowledge.

We base the Solow one-sector growth model to describe the final goods sector. The market mechanism of perfect competition is based on traditional neoclassical growth theory. Wealth accumulation is a key machine of economic growth. The original Solow model analyze in a simple and logical manner how the economic growth rate is determined with exogenous saving rate, exogenous technology, and exogenous population growth in a perfectly competitive economy.

We now build a growth model with endogenous capital and knowledge accumulation under perfect competition and monopolistic competition. Our approach to increasing scale economies, knowledge creation, and research is based on Romer. We unify the different approaches by applying the utility function and the concept of disposable income proposed by Zhang. It should be noted that the model in this study is an extension of Zhang’s growth model with monopolistic competition (Zhang 2018) and Zhang’s growth model with research and learning by doing (Zhang, 1993; Zhang 2014). Rather than following the mainstream neoclassical growth theory with the Ramsey approach, Zhang. (2005); Zhang (2008) introduces an alternative utility and disposable income to neoclassical growth theory. The rest of the paper is organized as follows. Section 2 builds the growth model with free trade under perfect competition and monopolistic competition. Section 3 analyzes properties of the global economy and simulates the economic system. Section 4 conducts comparative dynamic analysis in some parameters. Section 5 concludes the study.

2. MODELLING TRADE AND GROWTH WITH RETURNS TO SCALE

Like in Grossman and Helpman (1990) we consider that the supply side consists of three kinds of activities: the production of a final good, the production of a continuum of varieties of differentiated middle products (i.e., intermediate inputs), and research and development (R&D). The final product is like the commodity in the Solow model, which can be invested as capital good and consumed as consumer good.

2.1. The Production of Final Product

2.2. The Middle Goods Sector

We apply Dixit and Stiglitz (1977) to describe the middle goods sector. At each point of time production of middle goods is characterized of monopolistic price competition. The profit comprises the product of profits per unit of product and the share of the market.

This equation also implies that the price is independent of variety. It should be noted that a firm optimizes its profit without considering possible impact of its decision on the aggregated variable. The symmetry implies that all the firms charges the same price. Under (11), the profit per firm is given in Equation 12:

2.3. Consumer Behavior

Rather than traditional approaches to household behavior in economic theory, we use an alternative approach to modeling behavior of households. The model is proposed by Zhang (1993) and has been applied to different fields of economics (e.g., (Zhang, 2005; Zhang 2008)).

The concept of disposable income in our approach is different from the traditional concept of disposable income which is equal to the current income in our approach. Our disposable income is the sum of the value of what one earns currently and the value of what one owns.

2.4. The Household’s Wealth Accumulation

The change in the household’s wealth is saving minus dissaving as given in Equation 20:

2.5. Knowledge Change Through Learning by Doing and Research

Before modelling knowledge accumulation in our approach, we mention a basic approach to research by firms in new growth theory (e.g., (Aghion & Howitt, 1992; Aghion. & Howitt, 1998; Grossman & Helpman, 1990; Grossman. & Helpman, 1991) ).  In this approach, profits of private profit-maximizing firms are spent on research. They consider that successful research creates blueprints that expand the measure of differentiated products, which implies that  is endogenous. The innovative firms would benefit from research efforts in the form of a stream of oligopoly profits. The zero-profit condition is given by:

By assuming that the innovation rate is dependent on the research efforts, the innovation rate is determined. We deviate from this traditional approach to knowledge growth. We consider that knowledge growth is through learning by doing and R&D activities. We assume that part of profits is devoted to research. This assumption is different from the treatment of profit distribution in new growth theory which commonly assumes that profit is either zero or re-invested for research, rather than shared by entrepreneurs and households for private purposes. New growth theory omits this possibility partly because if profits are distributed partly to private households, resulted dynamics may become too complicated to be analytically tractable. In our approach we distribute the total profit between households and research.

In this study, we take account of two sources of knowledge growth. Arrow (1962) first introduced learning by doing into growth theory. Uzawa (1965) took account of trade-off between investment in education and capital accumulation (see also, Lucas (1986). The approach by Uzawa can be interpreted as research as well.

In our approach, we assume that change in knowledge directly affects productivities of firms of middle goods producers. Obviously, a more reasonable approach is to assume that knowledge affects both productivities of incumbent firms and number of new entrants. For simplicity of analysis, we consider that knowledge affects cost functions. The research sector is financially supported by the profit share. We might also interpret that the government taxes the profit to use the tax income to solely support research. As the research money is solely spent on workers in the research sector, we have the budget as in Equation 22:

2.6. Demanda Supply of Final Goods

Capital good is the same as the commodity in the Solow model, which can be invested as capital good and consumed as consumer good. As change in capital stock is equal to the output of the final good sector minus the total consumption and depreciations of capital stock, we have:

2.7. Labor and Capital are Fully Employed

The labor force is fully employed as in Equation 24:

2.8. National Capital and National Wealth

The value of physical capital is equal to the value of national wealth as expressed in Equation 25

We built the model. The rest of the paper studies properties of the model.

3. THE DYNAMIC PROPERTIES OF THE MODEL

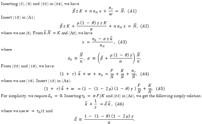
The previous section built a global growth model by integrating the Solow one-sector growth model the Dixit-Stiglitz model with monopolistic competition, and the Romer growth model with endogenous knowledge. The economy is characterized by the neoclassical growth mechanism with perfect competition and monopolistic competition with Arrow’s learning by doing and Romer’s research. The following lemma summarizes a computational program for describing the movement of the economic system. It should be noted that we get the results in the rest of the paper under This assumption is made for simplicity of analysis with the reason given in the appendix.

3.1. Lemma

The following differential equations determine the motion of the economic system:

The population is 200. It should be noted that the parameter choice will not affect our analysis as we will show soon about how changes in parameter values affect the movement of the national economy. The household allocates 80 percent of the disposable income for saving and the rest for consuming. Knowledge accumulation exhibits negative returns to scale in knowledge stock. Profits of firms of the middle goods sector are distributed to the research sector and the household 60 percent and 40 percent, respectively. The initial condition is as follows:

The simulation result is plotted in Figure 1. From the initial state, the national output of the final goods sector falls initially and rises late. The national capital falls initially and rises late on. The knowledge stock rises and labor required for producing one unit of product by firms of the middle goods sector falls. The changes in the rest variables are plotted in the figure.

Figure-1. The motion of the economic system.

The simulation shows that the national economy becomes stationary in the long term. We calculate the equilibrium point as follows:

This guarantees the local stability of the equilibrium point. This implies that we can effectively carry out dynamic comparative analysis.

4. COMPARATIVE DYNAMIC ANALYSIS

The previous section demonstrated the movement of the national economy. We showed that the system has a stable equilibrium. We can easily conduct comparative dynamic analysis as the Lemma provides a computational procedure to calibrate the dynamic system.

4.1. A Rise in Variety of Middle Goods

We first study what will happen to the national economy when the variety of intermediates rises as follows: The variety is increased, for instance, due to innovation and introduction of new products. The simulation result is plotted in Figure 2. Although each firm of the middle goods sector produces less, the aggregate output of the sector is increased. Each firm’s profit falls, but the total profit from the market is enhanced. The representative household receives more profit and each profit makes more investment on research. The knowledge stock is augmented and cost of the firm falls. The output level of final goods and national capital are incraesed. The rate of interest is increased in the short term, but is not affected in the long term. The price of middle goods rises. The wage rate rises. The household has more wealth and consumes more. The utility level is enhanced.

Figure-2. A rise in variety of middle goods.

4.2. Elasticity of Substitution between Two Varieties Rises

4.3. Labor Cost Parameter of the Middle Goods Sector Rises

We now study the impact that the labor cost parameter of the middle goods sector is increased as follows:  This implies a rise in labor cost with fixed knowledge. The simulation result is plotted in Figure 4. Each firm of the middle goods sector produces less and the sector’s aggregate output is decreased. Each firm’s profit falls. The total profit of the middle goods sector is reduced. The representative household receives less profit. Less is invested on research. The knowledge stock and national capital and output of final goods are reduced. Per unit output requires more labor. The rate of interest falls initially and changes slightly in the long term. The price of middle goods rises. The wage rate falls. The household has less wealth and consumes less. The utility level is reduced.

Figure-4. Labor cost parameter of the middle goods sector rises.

4.4. Propensity to Save is Enhanced

We now examine what will happen to the economy if the propensity to save is increased as follows:  The simulation result is plotted in Figure 5 . The national capital stock, knowledge, and output of the final goods sector are enhanced. The rate of interest falls and the wage rate rises. The labor required per unit of middle goods falls slightly. Each firm of the middle goods sector produces more and the sector’s aggregate output is increased. Each firm’s profit rises. The total profit of the middle goods sector is increased. The representative household receives more profit. More is invested on research. The price of middle goods and wage rate rise. The household has more wealth. The household consumes less initially and more in the long term. The utility level is augmented.

Figure-5. The Propensity to Save is Increased

4.5. The Final Goods Sector Uses Knowledge More Effectively

We now deal with the impact that the final goods sector uses knowledge more effectively as follows: The simulation result is plotted in Figure 6. The national capital stock, knowledge, and output of the final goods sector are enhanced. The rate of interest rises initially and does not change in the long term. The wage rate rises. The labor required per unit of middle goods falls slightly. Each firm of the middle goods sector produces more and the sector’s aggregate output is increased. Each firm’s profit rises. The total profit of the middle goods sector is increased. The representative household receives more profit. More is invested on research. The price of middle goods and wage rate rise. The household has more wealth. The household consumes more. The utility level is augmented.

Figure-6. The final goods sector uses knowledge more effectively.

4.6. The Population is Increased

4.7. Higher Share of the Profit is Spent On Research

4.8. The Research Sector is More Creative

4.9. Knowledge Creation has Stronger Returns to Scale

5. COMPARATIVE DYNAMIC ANALYSIS

This study built a growth model with perfect competition and monopolistic competition on the two main theories – neoclassical growth theory and new growth theory – in economics. The model is based on three of most well-known models in economic theory, the Solow one-sector growth model, the Dixit-Stiglitz growth model, and the Romer growth model with endogenous knowledge. The paper integrated the most basic models in economic theory within a comprehensive framework by applying the utility function and the concept of disposable income proposed by Zhang. This study deviates from the Solow model in that knowledge is endogenous and markets are competitive and monopolistically competitive. We deviate from the Dixit-Stiglitz model in that capital is endogenous and non-zero profits are distributed to households and research activities. We deviate from the Romer model in that knowledge is through Arrow’s learning by doing as well as research. We built the growth model and then simulated its behavior. We demonstrated a unique stable equilibrium point. The stability is partly due to the fact that our growth force is neoclassical and knowledge accumulation is assumed to exhibit negative returns to scale in knowledge. We also plotted the motion of the economy. We examined the effects of changes in different parameters to show how the economy reacts to different exogenous changes. The comparative dynamic analysis showed the effects of the exogenous changes on transitory process and long-term equilibrium structure. We explained certain phenomena different from what one observes in neoclassical growth theory and new growth theory. For instance, we showed that a rise in the population increased the individual household’s welfare, consumption and utility level, while in the standard neoclassical growth theory changes in the population have no effects on these variables. We also showed that a rise in the number of varieties of middle goods augments the national capital and household wealth, while in the standard new growth theory issues related to physical capital and household wealth are not properly analyzed due to the lack of economic mechanism analytically suitable for modelling the issues. We can extend the model in different directions. As there are a large amount of publications in each of the three basic models on which our model is based, we can extend and generalize the model in different ways on the basis of the literature. For instance, we may make the number of varieties an endogenous variable, introduce other forms of markets, have heterogeneous populations and capitals. Trade and regional agglomeration are key concerns of new growth theory.

REFERENCES

Aghion, P., & Howitt, P. (1992). A model of growth through creative destruction. Econometrica, 60(2), 323–351.

Aghion, P., & Howitt, P. (1998). Endogenous growth theory mass. Cambridge: The MIT Press.

Arrow, K. J. (1962). The economic implications of learning by doing. Review of Economic Studies, 29(3), 155-173.

Benassy, J.-P. (1996). Taste for variety and optimum production patterns in monopolistic competition. Economics Letters, 52(1), 41-47.Available at: https://doi.org/10.1016/0165-1765(96)00834-8.

Bertoletti, P., & Etro, F. (2017). Monopolistic competition when income matters. The Economic Journal, 127(603), 1217-1243.Available at: https://doi.org/10.1111/ecoj.12329.

Dixit, A. K., & Stiglitz, J. E. (1977). Monopolistic competition and optimum product diversity. The American Economic Review, 67(3), 297-308.

Grossman, G. M., & Helpman, E. (1990). Comparative advantage and long-run growth. The American Economic Review, 80(4), 796-815.

Grossman., G. M., & Helpman, E. (1991). Innovation and growth in the global economy. Cambridge, Mass: The MIT Press.

Krugman, P. (1979). A model of innovation, technology transfer, and the world distribution of income. Journal of Political Economy, 87(2), 253-266.Available at: https://doi.org/10.1086/260755.

Krugman, P. (1980). Scale economies, product differentiation, and the pattern of trade. The American Economic Review, 70(5), 950-959.

Lancaster, K. (1980). Intra-industry trade under perfect monopolistic competition. Journal of International Economics, 10(2), 151-175.Available at: https://doi.org/10.1016/0022-1996(80)90052-5.

Lucas, R. E. (1986). On the mechanics of economic development. Journal of Monetary Economics, 22(1), 3-42.

Nocco, A., Ottaviano, G. L. P., & Salto, M. (2017). Monopolistic competition and optimum product selection: Why and how heterogeneity matters. Research in Economics, 71(4), 704-717.

Parenti, M., Ushchev, P., & Thisse, J.-F. (2017). Toward a theory of monopolistic competition. Journal of Economic Theory, 167, 86-115.Available at: https://doi.org/10.1016/j.jet.2016.10.005.

Romer, P. M. (1986). Increasing returns and long-run growth. Journal of Political Economy, 94(5), 1002-1037.Available at: https://doi.org/10.1016/j.econlet.2007.11.013.

Romer, P. M. (1990). Endogenous technological change. Journal of Political Economy, 98(5, Part 2), S71-S102.

Solow, R. M. (1956). A contribution to the theory of economic growth. The quarterly Journal of Economics, 70(1), 65-94.

Uzawa, H. (1965). Optimum technical change in an aggregative model of economic growth. International Economic Review, 6(1), 18-31.Available at: https://doi.org/10.2307/2525621.

Waterson, M. (1984). Economic theory of the industry. Cambridge: Cambridge University Press.

Zhang, W.-B. (1993). Government's research policy and economic growth: Capital, knowledge and economic. Research Policy, 22(4), 327-336.Available at: https://doi.org/10.1016/0048-7333(93)90003-z.

Zhang, W. B. (2005). Economic growth theory. London: Ashgate.

Zhang, W. B. (2008). International trade theory: Capital, knowledge, economic structure, money and prices over time and space. Berlin: Springer.

Zhang, W. B. (2014). Capital and knowledge examined by integrating arrow’s learning-by-doing, the walrasian equilibrium theory, and neoclassical growth theory. South Asian Journal of Macroeconomics and Public Finance, 3(2), 267-293.

Zhang, W. B. (2018). An integration of solow’s growth and dixit-stiglitz’s monopolistic competition models. SPOUDAI-Journal of Economics and Business, 68(4), 3-19.

Appendix: Proving the Lemma

Online Science Publishing is not responsible or answerable for any loss, damage or liability, etc. caused in relation to/arising out of the use of the content. Any queries should be directed to the corresponding author of the article.